所屬科目:教甄◆數學專業
1.x10 +x8 +x6 +x4 +x2 +1 =0 之所有根在複數平面上所對應之點,所圍 成的凸多邊形面積為(A) (B)(C)3(D)4(E)
2. 設指數方程式的解為 x = 為一最簡分數且 a >0 , 則 a +b = (A) 12 (B) 3 (C) 5 (D) 7 (E) 29。
3. 設 z 為一複數,之解集合在複數平面上的圖形面積為 (A) 12π(B) 14π(C) 16π(D) 18π(E) 20π。
5. 四個正整數 a、b、c、 d 的乘積為 8!且滿足 ,請問 a −d = (A) 12 (B) 10 (C) 8 (D) 6 (E) 4。
6. 將 展開並合併同類項,試問化簡後共有多少 項? (A) 1020100 (B) 2039190 (C) 1019595 (D) 4072324 (E) 2036162。
8. 如右圖,將數字 1~14 填入一個 2✖7 的表格中,其中左邊的數字要比右 邊的數字小,上面的數字要比下 面的數字小,滿足這種規律的填 法有幾種? (A) 426 (B) 427 (C) 429 (D) 431 (E) 433。
9. 兩個同心圓的半徑比為1:3 ,若 為大圓的直徑, 是大圓的弦且 與小圓相切,=12,則大圓的半徑為 (A) 13 (B) 18 (C) 21 (D) 24 (E) 26。
11. 已知 x3 −3x +1(x −2cosα)(x −2cosβ)(x −2cosγ) ,且 0°,試 求 sin之值=__________
12. ∆ABC 中, ∠A 、 ∠B 、 ∠C 的對邊之邊長分別為 a 、 b 、 c ,若 b2 −c2 =ac , ∠A =42°,則 ∠C = _________度。
13. 介於 1 與 2018 之間的整數 N ,有 ________ 個整數 N 代入 後,會使得 不是最簡分數。
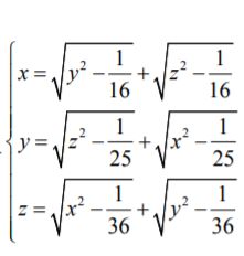
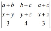
14. 設 a 、 b 、 c 、 x 、 y 、 z 均為實數,若 ,則 的最大值為_________。
15. 在空間中, O (0,0,0), A(a,0,0)、 B (0, b,0)、 C(0,0, c),其中 a ,b , c 為正數。若 ∆ABC 的面積為 4,則 之最大值為 _________ 。
16. 某數列的前兩項為 a1 =1, ;對於 n ≥1,滿足 ,試問 a 之值為α 2018 ______ 。
17. 設兩複數 z , w 滿足| z+3 −3i|=2 ,| iw −1| =1,則 |z −w| 之最大值為_______。
18. 方程式sin x −3cos x =k ,在 0 ≤x ≤π的範圍內,有兩個相異的實數 解,求實數 k 的範圍為 24 ≤k < 。
19. 設兩複數,若 且 a 為實數,則 之最小值為 _______。
20. 大於 ()6 的最小整數為____________。
21. ,則 xz +yz =_________ 。
22. 已知 x1 =21, x2 =37 , x3 =42 , x4=23 ,且 ,試求 x31 +x53 +x1975 = ___________。
23. 設滿足 z28 −z8 −1=0 及| z| =1的複數共有 2n 個。這些複數的極式為,試求,則 x 之值為 ___________。
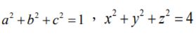
24. 設實數 x 、 y 、 z 滿足,且 x+y +z= , m 、 n 是正整數,且 n 不能被任何質數的平方整除,則 m+n 之值為_________。
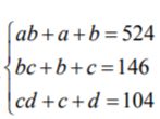
25. 設α為方程式的實根, β為方程式107x =−x +3的實根。則之值為 ____________ 。
26. 設 ,則 a6 − 9a2 − 18a −4 之值為________。
28. 試求最接近於 之整數為三位數 abc ,則 a +b +c =_________。
29. 如附圖,中正預校有一塊圓心角為80°、半徑為 80公尺的扇形田地,校長想利用3 條半徑與3 條以 O點為圓心的弧長將此扇形田地分割成16 塊。已知此三 條半徑平分扇形 O的圓心角,此3 條弧長平分扇形 O的半徑,試問圖 上兩塊灰色田地相差 平方公尺。
30. 如附圖, = , ∠BAD= 30° ,,則x=_______。