所屬科目:電磁學
一、⑴總電荷 Q0 均勻地分布於一球體,球體的半徑為 b,球心 C 的座標為 (xc, yc, zc) = (0, 0, h),如圖一(a)所示。求在原點 O 的電場 。(10 分)
⑵將圖一(a)的均勻電荷球體挖出一小球,球心 S 的座標為(0, 0, h-a),半 徑為 a,且將此挖出的電荷球置於原球體的上方,球心 P 的座標為 (0, 0, w), ,w ,如圖一(b)所示。計算在原點 O 的電場 ,以及 。(15 分)
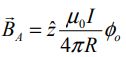
二、⑴有一直流弧形電流 I,弧半徑為 R,弧角為φo,如圖二(a)所示。證明 其在弧心(O 點)的磁場為。(10 分)
⑵有一直流電流 I,因為佈線的需求,其電流路徑形成一多邊環路,如 圖二(b)所示,此多邊環路對稱於 y 軸,b = 2a ,c = 4a , θ = 。利用 ⑴的結果,計算在弧心(O 點)的磁場。(10 分)
⑶求進入 B 區間之透射平面波的電場。(20 分)