所屬科目:高中(學測,指考)◆數學
1. 給定相異兩點 A、 B,試問空間中能使 △PAB成一正三角形的所有點P 所成集合為下列哪一選項? (A)兩個點(B)一線段 (C)一直線 (D)一圓 (E)一平面
3. 某公司規定員工可在一星期(七天)當中選擇兩天休假。若甲、乙兩人隨機選擇休假日且兩人的選擇互不相關,試問一星期當中發生兩人在同一天休假的機率為何?(A)(B)(C)(D)(E)
5. 試問共有幾個角度 θ滿足 ,且 依序成一等差數列? (A) 1個 (B) 2個 (C)3 個 (D)4 個 (E) 5個
6. 某貨品為避免因成本變動而造成售價波動太過劇烈,當週售價相對於前一週售價的漲跌幅定為當週成本相對於前一週成本的漲跌幅的一半。例如下表中第二週成本上漲100%,所以第二週售價上漲50%。依此定價方式以及下表的資訊,試選出正確的選項。 【註:。】 (A) (B) (C) (D) (E)
7.△ ABC內接於圓心為O 之單位圓。若,則∠BAC 之度數為何? (A) 30°(B) 45°(C)60° (D) 75°(E)90°
8. 某年學科能力測驗小華的成績為:國文11 級分、英文 12級分、數學 9級分、自然 9級分、社會12 級分。他考慮申請一些校系,表1為大考中心公布的學測各科成績標準;表2是他最有興趣的五個校系規定的申請檢定標準,依規定申請者需通過該校系所有檢定標準才會被列入篩選。例如甲校系規定國文成績須達均標、英文須達前標、且社會須達均標;丙校系則規定英文成績須達均標、且數學或自然至少有一科達前標。表2空白者表示該校系對該科成績未規定檢定標準。 根據以上資訊,試問小華可以考慮申請哪些校系(會被列入篩選)? (A)甲校系 (B)乙校系 (C)丙校系 (D)丁校系 (E)戊校系
10. 已知坐標平面上 ,其中 ,且 。試選出正確的選項。 (A) (B)△ ABC是直角三角形 (C)△ ABC 的面積為 (D) (5)
11. 坐標空間中,設直線 ,平面 ,平面 。試選出正確的選項。 (A)點 (3,0,-1)在直線L 上 (B)點(1,2,3) 在平面 E1上 (C)直線L 與平面E1垂直 (D)直線L 在平面 E1上 (E)平面E1 與E2 交於一直線
12. 試問下列哪些選項中的二次曲線,其焦點(之一)是拋物線y2=2x 的焦點? (A) (B) (C) (D) (E)
A. 已知坐標平面上三點 與 (12,y)在同一直線上,則y=log______________ 。
B. 如右圖所示(只是示意圖),將梯子 靠在與地面垂直的牆 AC上,測得與水平地面的夾角∠ABC 為 60°。將在地面上的底 B沿著地面向外拉 51公分到點F (即 公分),此時梯子 與地面的夾角∠EFC 之正弦值為 ,則梯子長___________ 公分。
C. 平面上兩點A 、 B之距離為5 ,以 A為圓心作一半徑為的圓Γ ,過B 作圓Γ 的切線,切點(之一)為P 。當r 變動時,△PAB 的面積最大可能值為
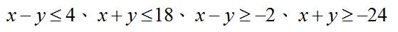
D. 坐標平面上,圓Γ完全落在四個不等式: 所圍成的區域內。則Γ 最大可能面積為π 。(化成最簡分數)
(E) 坐標平面上,若拋物線 的頂點為C ,與 x軸的交點為A 、 B,則 。(化成最簡分數)
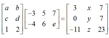
F. 設 皆為實數,考慮矩陣相乘: , 則 。(化成最簡分數)
G. 設 D為△ABC 中邊上的一點,已知 。 若,則 。(化成最簡分數)
H. 將一塊邊長 公分、 公分的長方形鐵片 ABCD沿對角線 對摺後豎立,使得平面 ABD與平面CBD 垂直,則A 、C 兩點(在空間)的距離公分。(化成最簡根式)