所屬科目:工程數學(應用數學, 線性代數、微分方程、複變函數與機率)
一、求微分方程式 =0 (其中x > 0)的通解(General Solution)。 (5 分)
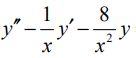
二、求 的通解(General Solution)。(20 分)
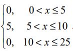
三、求週期為 25(即為 f(x+5)=f(x))的函數 之拉普拉 斯轉換(Laplace Transform)。(10 分)
四、若,求 z。(10 分)
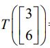
七、T: 2 2 R → R 為一線性轉換,其中。求 T 的矩陣表示式及求 =?(5 分)
八、,求其行列式值( Determinant )及特徵值 (Eigenvalues)與其對應的特徵向量(Eigenvectors)。(20 分)
九、 ,請找所有滿足 Ax = 0之x所形成空間的一組基底(Basis) 及所有滿足 Ax b = 之 b 所形成空間的一組基底(Basis)。(10 分)