所屬科目:工程數學(應用數學, 線性代數、微分方程、複變函數與機率)
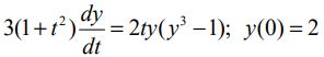
一、試求解下列微分方程之通解(General Solution)及特解(Particular Solution)。(20 分)
二、試 求 矩 陣 的特徵值( Eigenvalues )與特徵向量 (Eigenvectors),並將矩陣對角線化。(20 分)
三、已知向量 ,試 以面積分及散度(Divergence)定理計算 為 dA 指向外 的法線向量。(20 分)
四、試求下列函數 f(x)的傅利葉級數(Fourier Series)。(20 分)