所屬科目:研究所、轉學考(插大)◆電磁學
1. 以下對電力(場)線的敘述,何者為非? (A)靜電力線絡是由正電荷開始,且終止於負電荷 (B)起始或終結的電力線數,正比於電荷的大小 (C)電力線上各點的切線方向代表該點的電場方向 (D)電場強度正比於電力線的密度 (E)電力線可相交
2. 如圖1所示,假設r>>d,則在距離電偶極中心r處的電場為? (A)(B) (C) (D) (E)
3. 一實心零電球半徑R,總帶電量為Q,則其內部距球心r(r<R)處的電場為? (A) (B)(C) (D) (E)
4. 某區域的電場為=(Ar̂+Bsinθcosφ φ̂)/r(球座標系統),其中A和B為常數,則該電場對應的電荷密度為? (A)ε₀(A+Bsinφ)/r² (B)ε₀(A+Bsinφ)/r² (C)ε₀(A-Bsinθ)/r² (D)ε₀(A+Bsinθ)/r² (E)A-B
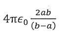
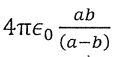
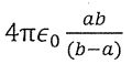
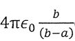
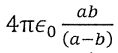
5. 兩同心金屬球,內徑為a(帶電Q),外徑為b(帶電-Q),則其電容值為? (A)(B) (C) (D) (E)
6. 請判斷Ē₁=k[xyẑ+2yzŷ+3xzẑ]及Ē₂=k[y²ẑ+(2xy+z²)ŷ+2yzẑ]兩電場是否為靜電場?其中k為一適當單位的常數。 (A)是不是 (B)不是是 (C)都是 (D)都不是 (E)無法判斷
7. 如圖2所示,若q=+2.0nC,Q=-3.0nC,則AB兩點的電位差VA-VB為? (A)+60V (B)+72V (C)+84V (D)+96V (E)+48V
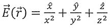
8. 空間中一電場分佈為,若以無窮遠處為零點,則點(2,0,0)的電位為? (A)-1 (B)-1/2 (C)-1/4 (D)1/2 (E)1/4
9. 如圖3所示,P點的磁場大小為? (A)0 (B) (C) (D) (E)
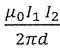
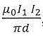
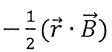
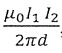
10. 兩長直導線相距d,流有相同方向、數值分別為I₁、I₂的電流,則I₂所受單位長度的磁力為? (A),排斥力 (B),吸引力 (C),排斥力 (D),吸引力 (E)0
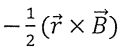
11. 一帶電荷q、質量m的粒子,以速度v射入均勻磁場B̄=Bẑ的x-y平面,則該粒子的運動週期為? (A) (B) (C)(D) (E)2π
12. 產生一均勻磁場的磁向量位置為位置向量)可表示為? (A)(B) (C) (D)(E)
13. 如圖4所示,一電阻R的半圓導體位於x-y平面上,圓心恰為原點,當一含時磁向量位置(φ,t)=φ·tφ̂(y≥0時)所造的磁場施於其上時,其感應電動勢的大小為? (A)π² (B) (C)π (D)(E)
14. 一圓盤半徑R,帶著均勻分佈的表面電荷σ,當其以等角速度ω旋轉時所產生的磁偶極矩為? (A) (B)πσωR² (C)πσωR³ (D) (E)
15. AB間的等效電容值為? (A)1 (B)2 (C)3 (D)4 (E)6 μF
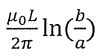
16. 如圖6,一長L的同軸電纜,內徑為a,外徑為b,電流I,則其自感為? (A)(B)(C)(D) (E)
17. 如圖7,迴路中電容器C的電壓為V₀,則開始放電後,電容器上的電荷隨時間變化的函數Q(t)為? (A)CV₀(1-e) (B)CV₀e (C)CV₀(1+e) (D)CV₀ (E)CV₀e
18. 如圖8,一面積a²的正方形線圈以角速度ω旋轉,並施一均勻磁場B̄於其上,則其隨時間變化的感應電動勢ε(t)為? (A)0 (B)Bωa²t (C)Bωt (D)Bωa²sinωt (E)Bωa²cosωt
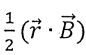
19. 經Maxwell修正真空中Ampere定律,統一了電磁,其修正過的定律(A)(B) (C) (D)(E)
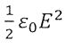
20. 一平行板電容器帶電Q及-Q,兩板相距d,兩板間電場數值為E,則其單位面積儲存的電場能為? (A) (B) (C)(D) (E)ε₀E²