所屬科目:教甄◆數學
2. 調查學生 小英 及其同學共 10 位學生的身高 x(公分)與體重 y(公斤), 並分析其相關 性。已知身高平均數=165 公分,標準差=6 公分,體重 y 對身高 x 的迴歸直 線為 y=0.4 x-10,且相關係數 r=0.8。若 小英 身高 160 公分,體重 k 公斤。下列 哪些選項是正確的? (A) 體重平均數 =56 公斤 (B) 體重標準差 =3 公斤 (C) 小英 體重 k=54 公斤 (D) 若將身高的單位改為公尺,則相關係數與迴歸直線的斜率都不變 (E) 若將每位學生的身高與體重分別標準化之後,則迴歸直線的斜率不變
3. 設各項都是實數的等差數列 ,…之公差為正實數α 。下列哪些選項是正 確的? (A) 若 (B) 若 (C) 若是公差為 2α 的等差數列 (D) 若是公差為α +1的等差數列 (E) 若,的算術平均數,則是公差為α 的等差數列
4.下列哪些選項是正確的? (A) (B) 已知 a>b>0,則對任意實數 x,恆成立 (C) 對任意實數 x, 恆成立 (D) 已知 a>1>b>0,則 (E) 已知 x>0 且 x≠1,則沒有實數解
5. 若平面向量 上的正射影長度為____________。
6. 已知實數 x , y 滿足 ,且 2x+4y 的最小值為-18,則實數 k= ___________
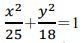
7. 已知橢圓與雙曲線有相同焦點。若點 P 是它們的一個交點,且=______ 。
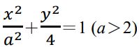
8. 已知橢圓 的兩個焦點為。若點 P 在橢圓上,且=60∘。 求 △的面積為____________。
9. 將一塊邊長公分=2 公分的長方形鐵片 ABCD 沿對角線對摺後豎立, 使得平面 ABC 與平面 ACD 垂直,則 B、D 兩點(在空間)的距離=__________公 分。
11. 在坐標平面上,△ABC 外有一點 P 滿足 。若 A , P 連線交於 M,則=____________。(化成最簡分數)
13. 一圓盤分成標有數字 0、1 的兩區域,且圓盤上有一可轉動的指針。已知每次轉動 指針後,前後兩次指針停在同一區域的機率為 ,而停在不同區域的機率為 。遊 戲規則為連續轉動指針三次,計算指針在這三次所停區域的標號數字之和。若遊戲 前指針的位置停在標號數字為 1 的區域,則此遊戲的期望值為____________。 (化成最簡分數)
14. 設 A , B , C , D 為圓上的相異四點。已知圓的半徑為 ,且互相垂直,如圖所示(此為示意圖,非依實際比例)。則 的長度為___________。 (化成最簡根式)
1. 求之值
2. 考慮直線 f(x)=mx+b,m≠0,試利用極限定義(ε 與 δ 關係) 證明