所屬科目:教甄◆數學
1. 求(x + 2)|x2 − 2x − 2| dx 1 −1 =?
2. 某一個超級細菌 1 分鐘以後會死亡或維持 1 個以及分裂成 2 個;若 1 分鐘後死亡機 率為 、維持 1 個的機率為 ,請問 3 分鐘後細菌變成 6 個的機率為?
4. 試證明:對於所有大於 1 之自然數,命題恆成立。
(1) 設 P 為 ,試求此時之值。
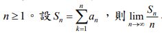
7. 若數列 。設1之 值為何?
9. 復仇者聯盟的美國隊長和鋼鐡人在一次保護地球的戰役中,連續 n 天共消滅 了全部 m 隻入侵地球的外星怪獸。
第 1 天美國隊長消滅 1 隻後,鋼鐡人消滅餘下 ( m-1) 隻的
第 2 天美國隊長消滅 2 隻後,鋼鐡人消滅餘下的 ,
第 ( n-1) 天美國隊長消滅 ( n-1) 隻後,鋼鐡人消滅了餘下的 ,之後,鋼鐡人由於 能量耗盡,壯烈犧牲。第 n 天美國隊長消滅了最後的 n 隻怪獸。 試問這場戰役持續了幾天 ? 共消滅了幾隻外星怪獸 ?
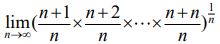
10. 試求=?
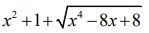
11. 試求 的極小值=?
12. 求之值。
13. 一直線 L 與拋物線y2=8x 交於 A、B 兩點,且直線 L 與拋物線所圍成之面積為 定值 ,則 A、B 中點所形成之軌跡方程式為何?
14. 已知 θ 為銳角且 =625,求 tanθ 之值