所屬科目:技師◆基礎工程與設計
有一長方形獨立基礎 3 m × 4m,埋置深度 1.5m,座落於軟弱土壤,c=10kPa、 φ= 15°、γs = 16.5 kN/m3,地下水位於深處如下圖,為增加基礎承載 能力,於土壤內部進行直徑 40 cm、中心間距 1 m 良,經試驗得知,改良部分之土壤單壓強度為 400 噴射混凝土基樁改 kPa,試求該獨立 基礎未偏心之極限承載力(kN)?提示:φ= 15°之 Nc = 6.5、Nq = 2.7、
二、有一直徑為 1.5 m 鋼筋混凝土基樁,混凝土强度f'c為 27.47 MPa,縱向有 32 根直徑 32 mm 之主筋,頂部承受 49.05 MN 外力,在頂部下方 5 m 鋼 筋應力值為 157.0 MPa,鋼筋彈性模數 Es 為 1.962 × 105 MPa 如下圖, 試求該基樁於頂部至下方 5 m 間與土壤之平均界面摩擦應力(kPa)。提 示:混凝土彈性模數 。(25 分)
三、於鄰近砂性土質(φ=32°、γs=17.6 kN/m3)道路邊緣設置如下圖之兩 L 類型之鋼筋混凝土擋土牆(γc = 23.54 kN/m3),地下水位於深處,試以朗 金(Rankine)土壓力理論檢核該兩 L 類型於平時狀態下之抗傾覆 (overturning)與抗滑動(sliding)安全性。底部混凝土與土壤界面摩擦角取 2/3 φ,此外另就此兩 L 類型施工期間之安全性與工程經濟性加以比較。(25 分)
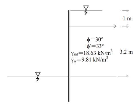
四、於砂性土質(φ=30°、φ′=33°、水位以下飽和單位重γsat = 18.63 kN/m3、水單位重γw = 9.81 kN/m3)進行開挖支撐工程如下圖所示,開挖深度 4.2 m,於頂部下方 1 m 處設有背拉地錨,地下水位於地面,隨開挖進行,內部降水位至開挖面位置,外部地下水位保持在地面,試利用自由土壤支撐法(free earth support method),分別以總應力σh = k × σv 與有效 應力σh = k × σ'v + σw 方式求解版樁理論埋入深度。(25 分)