所屬科目:教甄◆數學專業
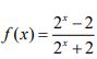
2. 設,求 =_______。(3 分
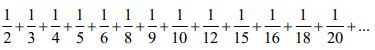
3. 求 之值為_______。(3 分)
4. 設 A 表質因數為 2 或 3 或 5 的所有正整數所形成的集合。集合 A 中,所有元素的倒數和為無 窮級數 ,求此級數的總和為』________ 。 (請化至最簡分數,否則不予計分) (3 分)
5. 一個房間的地面是由 24 個正方形所組成,如右圖(一)。 今想用長方形磁磚舖滿地面,已知每一塊長方形磁磚 可以覆蓋兩個相鄰的正方形,即 或 。 則用 12 塊磁磚舖滿房間地面的方法有_______種舖法。(3 分)
6. 求 之實數解為_______。(3分)
7. 如右圖(二),△ABC 中,若 = , ∠A = 40° ,且 P 為 邊上的一點使得∠ APC=120° ,求 =___________ 。(3 分)
9. △ABC 、△DCE 皆為正三角形(如圖三),且= 6, = 4,B、C、E 三點共線,M、N 分別 為 、 之中點,求 △MNC 之面積為__________ 。(3 分)
10. 如圖(四),給定坐標平面上四點 A(0,0)、B(3,–2)、C(6,0)、D(5,2)及直線 L。 若直線 L 剛好同時將兩個三角形 △ABC 、△ADC 面積平分, 且與 相交於 E 點,求 E 點坐標為__________ 。(4 分)
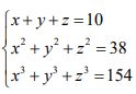
11. 若 x> y> z ,解 ,求數對 ( x, y, z ) =__________ 。(4 分)
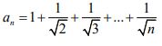
12. 設數列 ,求 =_______ 。(4 分)
1. 數列< an >滿足 a1 = 1、an + 1 = (1 + 4an + ),求此數列的一般項 an。(5 分)
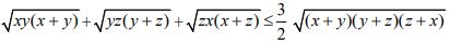
2. 設 x、y、z 皆為正實數,試證:。 (4 分)