所屬科目:研究所、轉學考(插大)-微積分
(a)
(b)
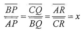
3. (10 pts) Let x>0 and △ABC be a triangle whose side lengths are . Choose a point P on , and a point Q on , and a point R on so that Let f(x) be the area of △PQR . Find the critical point and the minimum of f(x).
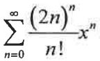
4. (10 pts) Find the radius of the convergence of the power series
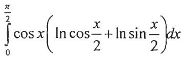
5.(10 pts) Evaluate the improper integral
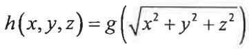
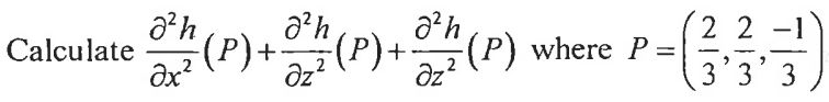
6. (10 pts) Let g :(0,∞)- be a twice differentiable function. Assume that g(I)=I, g'(I)=3,g"(I)=-4. Define a real valued function h on
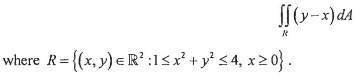
8. (10 pts) Evaluate the double integral
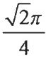
9. (10 pts) Let C be the curve in defined by the parametric equation x(t)=cos(t),y(t)=sin(t),z(t)=t for 0 ≤ t ≤ a. Suppose that the arc length of C is . Evaluate the line integal of the vector field F=
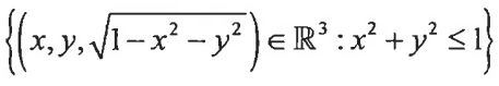
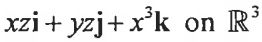
10. (10 pts) Find the flux of the vector field F on defined by through the surface S = oriented with upward pointing normal vector field. 備註:i=(1,0,0),j=(0,1,0),k=(0,0,1)