所屬科目:高中(學測,指考)◆數學
1. 已 知 兩 個 直 角 三 角 形 三 邊 長 分 別 為 3,4,5、5,12,13, α β, 分 別 為 它 們 的 一 角,如 下 圖 所 示 。 試 選 出 正 確 的 選 項 。
(A)(B)(C)(D)(E)
2. 空間中 有 相異四點 A, B ,C ,D, 已 知 內 積 = 。 試 選 出 正 確 的 選 項 。 (A)= 0 (B)= (C) 與平 行 (D) = 0 (E) A , B, C, D 四 點 在 同 一 平 面 上
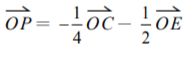
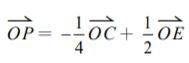
3. 如 圖 所 示 , O 為 正 六 邊 形 之 中 心 。 試 問 下 列 哪 個 向 量 的 終 點 P 落 在△ODE 內 部 ( 不 含 邊 界 ) ? (A) (B) (C) (D) (E)
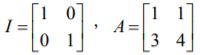
4. 令 , , 試 選 出 代 表 BA 的 選 項 。 (A) (B)(C)(D)(E)
5. 試 問 數 線 上 有 多 少 個 整 數 點 與 點 的距離小於 5,但 與 點 的距離大於 3? (A) 1 個 (B) 4 個 (C) 6 個 (D) 8 個 (E) 10 個
6. 連 續 投 擲 一 公 正 骰 子 兩 次 , 設 出 現 的 點 數 依 序 為 ab, 。 試 問 發 生 的 機 率 為 多 少 ? (A) (B) (C) (D) (E)
7. 坐 標 平 面 上,函 數 圖 形 上有兩點 PQ, 到 原 點 距 離 皆 為 1。已 知 點 P 坐 標 為 , 試 問 點 Q 坐標為 何 ? (A) (B) (C) (D)(E)
9. 在 坐 標 平 面 上 , 有 一 通 過 原 點 O 的 直 線 L , 以 及 一 半 徑 為 2、 圓 心 為 原 點 O 的 圓 Γ。 PQ, 為Γ 上相異 2 點,且 分 別 與 L 所 夾 的 銳 角 皆 為 30° ,試 選 出內積之 值 可 能 發 生 的 選 項 。 (A) 2 (B) -2(C) 0 (D) -2 (E) -4
10. 考 慮 多 項 式 , 試 選 出 正 確 的 選 項 。 (A) 的 圖 形 和 y 軸 交 點 的 y 坐標小於 0 (B) f (x) =0 有 4 個實根 (C) f (x) =0至 少 有 一 個 有 理 根 (D) f (x) =0 有 一 根 介 於 0 與 1 之 間 (E) f (x) =0有 一 根 介 於 1 與 2 之 間
11. 設 a,b,c 為 實 數 且 滿 足。 試 選 出 正 確 的 選 項 。 (A) (B) (C) (D) b = 2a (E) a,b,c 成 等 比 數 列
12. 下表是 2011 年 至 2018 年 某 國 總 就 業 人 口 與 農 業 就 業 人 口 的 部 分 相 關 數 據 , 各 年 度 的 人 口 以 人 數 計 , 有 些 是 以 千 人 計 , 有 些 以 萬 人 計 , 例 如 2011 年總就 業 人 口 為 1,070.9 萬人, 65 歲 以 上 男 性 農 業 就 業 人 口 為 69.1 千 人 。 試 根據表 格資料 選 出 正 確 的 選 項 。 (A) 從 2013 年 至 2018 年 , 65 歲 以 上 的 男 性 農 業 就 業 人 口 逐 年 遞 增 (B) 從 2013 年 至 2018 年 , 50 歲 至 64 歲 之 男 性 農 業 就 業 人 口 逐 年 遞 增 (C) 上 表 中 , 每 一 年 的 男 性 農 業 就 業 人 口 占 總 就 業 人 口 的 比 率 都 小 於 百 分 之 五 (D) 上表中 , 每 一 年 50 歲 至 64 歲 之 男 性 農 業 就 業 人 口 都 少 於 49 歲以下之男 性 農 業 就 業 人 口 (E) 就 65 歲 以 上 之 男 性 農 業 就 業 人 口 而 言,2018 年 比 2011 年 增 加 了 不 到 一 萬 人
13.如 示 意 圖 , 四 面 體 OABC 中 , △OAB 和 △OAC 均 為 正 三 角 形 ,∠BOC = 30 °。 試 選 出 正 確 的 選 項 。 (A)(B)△OBC 是 等 腰 三 角 形 (C) △OBC 的 面 積 大 於 △OAB 的面積 (D) (E) 平 面 OAB 和 平 面 OAC 的 夾 角 ( 以 銳 角 計 ) 小 於 30°
B. 有 一 按 鈕 遊 戲 機,每 投 幣 一 枚,可 按 遊 戲 機 三 次。第 一 次 按 下 會 出 現 黑 色 或 白 色 的 機 率 各 為 ; 第 二 或 第 三 次 按 下,出 現 與 前 一 次 同 色 的 機 率 為 ,不 同 色 的 機率為 。今 某 甲 投 幣 一 枚 後 ,按 三 次 均 出 現 同 色 的 機 率 為___________ 。( 化 為 最 簡 分 數 )
C. 設 S 為坐標平面上直線被平行線 與 所截的線段 ( 含 端 點 )。 若直線 與 S 有 交 點 , 則 c 的最小值為 _____________。
D. 平 面 上 有 一 箏 形 ABCD, 其 中, 2,∠ BAD= 135° 。 則 =。( 化 為 最 簡 根 式 )
F. 坐 標 平 面 上 有 一 條 拋 物 線Γ ,其 上 有 四 個 點 構 成 等 腰 梯 形 ,且 等 腰 梯 形 的 對 稱 軸 與 Γ 的 對 稱 軸 重 合 。 已 知 該 等 腰 梯 形 的 上 底 為 4、 下 底 為 6、高為 14, 則 Γ的焦距為 。( 化 為 最 簡 分 數 )
G. 設 計 師 為 天 文 館 設 計 以 不 銹 鋼 片 製 成 的 月 亮 形 狀 , 其 中 有 一 款 設 計 圖 如 右 圖 所 示 : 圖 中 , 圓 弧 QRT 是 一 個 以 O 點 為 圓 心 、 為 直 徑 的 半 圓 ,。圓 弧 QST 的圓心在 P 點,= 2 。圓 弧 QRT 與圓弧 QST 所圍出的 灰 色 區 域 QRTSQ 即 為 某 一 天 所 見 的 月 亮 形 狀 。 設 此 灰 色 區 域 的 面 積 為 ,其 中 π 為 圓 周 率, a 為 有 理 數, b 為 整 數, 則 a = ( 化 為 最 簡 分 數 ), b= 36 。