所屬科目:工程數學(應用數學, 線性代數、微分方程、複變函數與機率)
一、求 的通解(general solution),其中已知 y=x 為該微分方程式的一個解。(15 分)
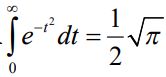
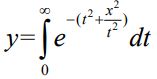
二、令 ,求 y(2)為何值?提示:y 對 x 微分可得一微分方程式, 且 。(10 分)
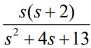
三、求的反拉普拉斯轉換(inverse Laplace transform)。(10 分)
五、讓 ,其中C 為由組成的線,A=(0,1,0); B=(2, 0, 1);D=(3, 2, 1)。(10 分)
六、曲線 C 的參數表示式為 x=t2 ; ; z=t2+3,則從 P1=(0, 0, 3)到 P2 =(1, , 4)弧線長(arc length)為何?(10 分)