所屬科目:工程數學(應用數學, 線性代數、微分方程、複變函數與機率)
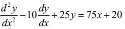
一、求以下微分方程式的通解。(20分)
二、求雙重積分dA,其中R為在第一象限被y=x2、y=4、x=0所 圍起來的區域。(20分)
三、隨機變數X和Y的聯合機率密度函數為 ,求機率P[X>Y]。(20 分)
四、f(x)是週期2π的函數,當-π<x<π時,f(x)=x/π,請將f(x)展開為三角傅立葉級數(TrigonometricFourierseries)的型式。(20 分)
五、矩陣 ,找出A的反矩陣A-1。(20分)