所屬科目:教甄◆理化專業
54. 如圖所示,小曾利用發熱功率為1200W的電熱器加熱水。若從入口端以50速率通入溫度為25℃的水流,可測得出口端的水溫度約為多少℃?(1J=0.24cal,且 水的密度為) (A)30 (B)35 (C)40 (D)45
55. 靜置於光滑桌面上的物體,受到水平力F與時間t的關係如圖所示,若以向下為正方向,則物體在哪一個時段動能增加? (A)t2~t3 (B)t3~t4 (C)t5~t6 (D)t6~t7
56. 2012年美國太空總署好奇號(Curiosity)火星探測器成功降落火星表面,展開火星 探測任務,探尋火星上的生命元素。好奇號(Curiosity)火星探測器是一個和汽車 大小差不多的遙控設備,若其質量為m,繞行火星表面附近做等速率圓周運動時的 速率為v,著陸後感測器顯示所受重力為F。已知萬有引力常數為G,則火星質量約可表示為何? (A) (B) (C) (D)
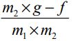
57. 如圖,質量為m1的小滑車置於光滑桌面上, 細繩一端與小滑車相連,另一端則經過桌邊的定滑輪吊掛質量為m2的砝碼,且定滑輪與 細繩間的摩擦力為f。則滑車運動時的加速度a 可以表示為何? (A) (B) (C) (D)
58. 舉重是一項歷史悠久的運動,將槓鈴以雙手舉過頭,以 舉起的槓鈴重量為勝負依據。某60公斤級的舉重選手挑 戰挺舉120公斤槓鈴,用力向上瞬間加速,槓鈴給雙手的反作用力應為何? (A)大於120公斤重 (B)等於120公斤重 (C)小於120公斤重 (D)等於180公斤重
59. 柯媽參加銀髮族桌上運動會的夾紅豆比賽項目,競賽規則 是參賽者必須用筷子將紅豆穩穩夾住後,再移到主辦單位 準備的盤子中,在3分鐘內把最多紅豆夾進盤子的人獲勝。 只見柯媽將紅豆穩穩夾住如圖,則下列說明何者較合理? (A)筷子給予紅豆的總動摩擦力大小大於紅豆的重量 (B)筷子給予紅豆的總動摩擦力大小等於紅豆的重量 (C)筷子給予紅豆的總靜摩擦力大小大於紅豆的重量 (D)筷子給予紅豆的總靜摩擦力大小等於紅豆的重量
60. 根據下圖,在蓮葉表面屬於奈米尺度的突觸,可如何進行觀察? (A)屬於肉眼可見的範圍 (B)使用放大鏡作為工具,即可進行觀察 (C)屬於光學顯微鏡可見的範圍 (D)需使用電子顯微鏡方可進行觀察
61. 小堂做實驗,分析比較甘油、去漬油、椰子油性質的差別,將實驗記錄如下表。請選出完全正確的選項。(A)(B)(C)(D)
62. 在化學反應速率單元,小欣為驗證濃度會影響反應速率的快慢,設計實驗步驟如下: (1)製備10mL 3M和30mL 1M的HCl水溶液備用 (2)取兩個相同的50mL錐形瓶,各放入2公克的大理石塊 (3)將裝有大理石塊的錐形瓶放上電子秤,秤量並記錄總重 (4)將10mL 3M的HCl水溶液倒入裝有大理石的錐形瓶,紀錄減少0.1公克所需時間 (5)將30mL 1M的HCl水溶液倒入裝有大理石的錐形瓶,紀錄減少0.1公克所需時間 實驗結果紀錄如下: 小欣的實驗步驟中,當總質量減少0.1公克時,哪一個反應物已消耗完畢、無殘留? (A)HCl已消耗完畢 (B)CaCO3已消耗完畢 (C)兩者皆反應消耗完畢 (D)兩者皆未反應耗畢、有殘留
63. 如圖,將邊長6cm的正立方木塊放入水中,其沒入水中的體積為原木塊體積之。 今倒入500mL且密度為0.6 g/cm3 的油,則木塊的位置將會在何處? (A)沉入杯底 (B)在油水界面中間,且在水面下的體積仍為原木塊體積之 (C)在油水界面中間,且在水面下的體積小於原木塊體積之 (D)在油水界面中間,且在水面下的體積大於原木塊體積之
64. 小澤回家做「泡醋蛋」的實驗,因為白醋的酸臭味被家人抗 議,而將泡醋蛋的瓶子加蓋子蓋緊。觀察了三天後,發現原 本蛋殼上的氣泡減少,蛋殼也未完全溶解。他拿到學校跟同學討論這現象,以下誰說得最為合理? (A)小樂:原因很簡單呀!因為白醋中的酸已經反應完了 (B)小柏:蛋殼中的碳酸鈣成份會溶於酸,其他就不會了,所 以就不再溶了呀 (C)小雅:因為你加了蓋子,增加壓力讓所有反應都停下來了 (D)小翰:加了蓋子讓瓶內處於一種化學平衡狀態,再打開蓋子可能會看到氣泡囉
66. 如圖的實驗裝置中,錐形瓶和玻璃管內所發生的化學反應,下列敘述何者正確? (A)錐形瓶內的反應中,鋅為氧化劑發生氧化反應 (B)錐形瓶內的反應中,鋅讓鹽酸氧化產生氫氣 (C)玻璃管內的反應中,是水蒸氣和氧化銅發生氧化還原 (D)玻璃管內的反應中,可看到氧化銅被還原產生金屬銅
67. 小雅取100顆綠豆,先用水浸泡,再分別如下表中的方式處理,一週後記錄發芽情形。請依下表判斷小雅的實驗假設最可能為何? (A)泡水時間越長,綠豆發芽數量越多 (B)溫度對綠豆發芽沒有影響 (C)光照情形會影響綠豆發芽情形 (D)影響綠豆發芽的變因有三種
68. 小寧在網路上查到兩種物質甲和乙在一大氣壓時的溶解度與溫度的關係圖,在溫度為30℃時,甲的溶解度大於乙,且為30g/100g水。他取甲物質50g加入30℃、150g 水中所形成的溶液,則此溶液重量百分濃度約為下列何者? (A)23 % (B)25 % (C)30 % (D)33 %
69. 浮沉子種類繁多,其中一種是溫差浮沉子,如圖所示。其原理是浮沉子在熱水區, 因石油醚受熱,產生的蒸氣會將水排出,使得浮沉子上升;當遇冷時,石油醚蒸氣 又變回液態,使水進入浮沉子裡而讓其下降,如此反覆運作。則下列敘述何者正確? (A)石油醚從液態變成氣態,屬於吸熱的化學變化 (B)在浮沉子下沉過程中其所受浮力大小大於重力大小 (C)透過浮沉子內的水量來改變平均密度,使其上升或下降 (D)若石油醚改用糖水代替,浮沉子的上升或下降效果會更佳
70. 如圖所示的玩具空氣槍中裝滿空氣,當右側活塞緩慢推動空氣槍內的空氣時,空氣槍內甲、乙、丙三處,何者增加的壓力最多? (A)甲 (B)乙 (C)丙 (D)一樣
71. 小恩以試管輕敲裝水的燒杯演奏兒歌――“小蜜蜂“。前四小節如圖(1)所示: 若小恩的燒杯樂器如圖(2)所示,則他演奏的前兩小節,必須依序敲擊哪些燒杯呢? (A)戊、丙、丙,丁、乙、乙 (B)甲、丙、丙,丁、乙、乙 (C)甲、丙、丙,乙、丁、丁 (D)乙、丙、戊,甲、乙、丁
72. 甲、乙、丙、丁四個小球的質量關係為m甲<m乙<m丙<m丁,讓此四個球皆自距離地面20公尺處自由落下,如圖所示。在運動過程中,各球所受的空氣阻力甚小,可以忽略不計。則下列關於此四個小球的敘述,何者正確? (A)未落下前,四個小球的重力位能相同 (B)在運動過程中,重力對四個小球作功相同 (C)在運動過程中,四個小球的加速度相同 (D)在落地前一瞬間,四個小球的動能相同
73. 如圖為小孟的運動速度(v)與時間(t)的關係圖。若他一開始的運動方向是向著北方,則在哪一段的運動是向著南方且動能增加? (A)甲 (B)乙 (C)丙 (D)丁
76. 如下圖所示,水平桌面上靜置一個木塊,今對木塊施以向東且大小固定的水平力 F;同學們對於木塊受力後可能發生的狀態及原因解釋如下,則哪一位同學的說法 最為合理? 阿春:若木塊向東作等加速度運動,是因為木塊在運動過程中所受的摩擦力大小逐 漸變小。 阿偉:若木塊保持靜止不動,是因為F與其反作用力的大小相同、方向相反,恰好互相抵消。 阿丞:若木塊向東作等速度運動,是因為木塊在運動過程中所受的摩擦力與水平力 F的合力為0。 (A)阿春 (B)阿偉 (C)阿丞 (D)三人皆合理
77. 摩擦起電和感應起電都是讓物體產生帶電的方式,下列有關兩者的敘述,何者正確? 感應起電示意圖 (A)摩擦起電只能用於絕緣體,導體無法摩擦起電 (B)甲乙兩物體相互摩擦而帶電,甲若失去1020個電子,所帶電荷為+16 C (C)帶電體靠近導體,會使導體產生暫時性正負電荷分離,是為感應起電 (D)當導體因感應起電而帶有電荷,其所帶電性與原帶電體相同
78. 一電路裝置如下圖所示,電池的電壓為6V,電阻器甲與電阻器乙並聯,此時流經P 點之電流I1為2A,流經Q點之電流I2為3A。若不計導線的電阻與電池內電阻,且電阻器皆符合歐姆定律,則有關甲、乙兩電阻的敘述,下列何者正確? (A)甲、乙的耗電功率比為 1 : 2 (B)通過甲、乙的電流比為 1 : 2 (C)甲、乙兩電阻值的比為 3 : 2 (D)甲電阻耗電功率與電源供電功率比為 2 : 3
79. 下圖為電解硫酸銅水溶液以及鋅銅電池的兩組實驗裝置示意圖,反應開始前,甲、 乙、丙和丁四支電極的質量都相同。反應經過一段時間後,取下四支電極烘乾後分別秤重,得知四支電極質量大小的關係為:碳棒甲>電極丙>碳棒乙>電極丁。則 關於這四個電極的敘述,下列何者正確? (A)碳棒甲連接電池的正極 (B)碳棒乙的質量在反應前後無太大差異 (C)電極丙發生氧化反應 (D)電極丁接受電子,表面有金屬析出
80. 如圖所示是一理想變壓器示意圖,方形鐵芯上繞有3個線圈。原線圈 n1 =220匝、兩 個副線圈 n2 =40匝、 n3 =20匝,且各自負載電阻 R2 =20Ω、R3=10Ω。當原線圈輸入220V的交流電壓時,下列關於兩個副線圈的敘述,何者正確? (A)副線圈 n2 的輸出電壓為20V (B)副線圈 n3 的輸出電壓為40V (C)副線圈 n2 上的電流為2A (D)副線圈 n3 上的電流為4A
81. 如下圖,一均勻磁場的方向垂直紙面向上,今有一面積為5m2 的圓形導線圈恰在圖面上,當磁場的大小在5秒之內從0.5T均勻的增大為100.5T後維持不變,則圓形線 圈上的感應電流繞轉方向為何? (A)維持5秒鐘的順時鐘方向電流 (B)維持5秒鐘的逆時鐘方向電流 (C)維持5秒鐘的交流電流 (D)維持10秒鐘的順時鐘方向電流
84. 如圖為「電流急急棒」簡易電路圖。此設計為:當挑戰者手持鐵環不穩而碰觸盒外 鐵絲時,電路中的LED燈會亮,蜂鳴器會響。若測試時, 電源電壓為3V,手持鐵環和盒外鐵絲接觸成通路,通過LED 的電流為20mA,且通過蜂鳴 器的電流為500mA。則經過5秒,電源消耗電能多少焦耳?圖片來源:電流急急棒。網址http://203.71.72.230/teach/nature/new_page_3.htm (A)0.52 (B)2.6 (C)7.8 (D)7.8×103
85. 小軒將模型製作完成後,想要選擇「加燈」來做半動態的展現,他查了LED相關資 訊,發現電源「供電電壓」>LED「工作電壓」會縮短LED的使用壽命,而「供電電壓」<LED「工作電壓」則LED的亮度不夠。於是,他選用下表規格中的高亮度 型5mm藍光LED,將電路進行如圖的改善,除了第一步先提高電源電壓,第二步他 應該如何進行比較適切?(A)在LED兩端並聯一個175Ω 電阻 (B)在LED兩端並聯一個125Ω 電阻 (C)在LED和電源之間串聯一個175Ω 電阻 (D)在LED和電源之間串聯一個125Ω 電阻
91. 銅(Cu)元素的原子序是29,在自然界中含有兩種同位素,平均原子量為63.6。已知 銅的第一種同位素之原子量為63.0,在自然界的莫耳含量為70%,下列何者是銅的第二種同位素? (A)(B) (C) (D)
92. 蒽(anthracene)是屬於多環芳香烴,多數來源自煤焦油,其化學結構式如下:下列何者是蒽的分子式? (A) C14H10 (B) C14H12 (C) C14H14 (D) C16H14
95. 原子經由下列哪一系列的衰變可形成原子? (A) α, α (B) β−, α (C) β−, α, β− (D) β−, α, α
99. A與B的反應為A(g) +B(g) → 2C(g) + D(g),在不同A與B的濃度時,其反應速率如下:根據上述的數據,該反應速率常數是多少? (A) 58 s−1 (B) 2.9×102s−1 (C) 2.9×102M−1s−1 (D) 4.6×102M−1s−1
100. 下圖為甲醇的相圖,表示不同溫度和壓力時甲醇存在的狀態,下列有關甲醇的敘述,何者正確? (A)在1大氣壓時,固態的甲醇可昇華為氣態 (B)在相同溫度和壓力時,甲醇固體的密度大於液體 (C)在1大氣壓以上,甲醇的固、液和氣態三相可共存 (D)在1大氣壓、200oC時,甲醇以超流體的形式存在