所屬科目:教甄◆數學專業
1. 已知 z 為複數且滿足| z |=1、| z-1.45 |=1.05,求 z 的實部為 。
2. 設P(x)=x5-x2+1=0的五個根為a1,a2,a3,a4,a5,Q(x)=x2+1,則Q(a1)•Q(a2)•Q(a3)•Q(a4)•Q(a5)=_______。
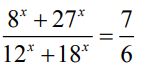
3. 設且滿足方程式 ,則 x =____________。
4. 設三次實係數多項式f(x)=ax3+bx2+cx+d滿足2f(2)=3f(3)=4f(4),且 f(4)=1010,求 f(1)+f(5)=__________。
5. 當桌球比賽比分為 10:10 時,稱為 deuce,此後必須由兩人輪流各發一球,直到其中一名球員比對手多勝 2 分時比 賽結束。依過去經驗知道,甲乙兩人比賽桌球,當甲發球時,甲得分機率為;當乙發球時,乙得分機率為。 今甲乙兩人比賽,目前比分恰為 10:10,接著輪到甲發球,假設各次得分為獨立事件,則從 deuce 發生後開始計算 發球次數,到比賽結束時,兩人發球總次數的期望值為____________次。
6. 已知一四面體 PABC 中,∠APB=∠BPC=∠CPA=60° ,且 △APB、△BPC、△CPA 的面積分別為、2、1,則這個四面體 PABC 的體積為_____________。
7. 第一次段考某班全部學生的國文測驗成績平均為 54 分,標準差為 6 分;國文寫作成績平均為 16 分,標準差為 4 分,兩分數相加後所得總成績的標準差為,若國文寫作成績為 y ,國文寫測驗分數為 x ,則 y 對 x 的迴歸直 線方程式_________________。
8. 將兩個 a 和兩個 b 共四個字母填入如下圖所示的 16 個小方格內,每個小方格內至多填一個字母,若相同的字母必 須不同行也不同列,則共有____________種不同的填法。
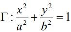
9. 已知直線 L:6x-5y-28=0交橢圓( a> b>0,且a,b 皆為正整數) 於兩點 A、C ,且 B(0, b) 為橢圓的頂點。若△ABC 的重心 G 恰為橢圓的右焦點F2(c,0),其中,則橢圓 的正焦弦長為____________。
10. 設 O 為△ABC 的外心,若 ,則 sin∠BAC =____________。
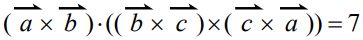
11. 在空間中,有三個不共平面的非零向量 ,滿足,求以三向量所張成的平行六面體體積為____________。
12. 已知,且B=(I+ A)-1( I-A),求矩陣(I+B )-1= 。
13. 已知數列<an>滿足,求=____________。
14. 設是由y=2x-x2與 x 軸所圍成的平面圖形,直線 y=kx將分成兩部分(如下圖所示),若與的面積分別為S1與S2,且S1:S2=1:7,求繞 y 軸旋轉一圈的旋轉體體積為____________。
15. 設△ABC 的三邊長分別為 a, b ,c ,且 a+ b+ c=12 ,求的最小值為____________。
16. 已知△ABC 中,∠BAC= 90° ,,若 P 點在△ABC 內部且滿足 ,求序對= ____________。
17. 某電子玩具按下按鈕後,只會出現紅球或白球。若某次出現為紅球,則下次按下按鈕後出現紅球、白球的機率分別為;若某次出現為白球,則下次按下按鈕後出現紅球、白球的機率分別為。已知第一次按下按鈕後出現紅球和白球的機率相等,求第 n 次按下按鈕後出現紅球的機率為____________。
18. 設且cos(α+β)=cosα+cosβ,求 cosα 的最大值為____________。