所屬科目:教甄◆數學
1. 計算:=_____
3. 設 f (n) 表示 的小數點後第 n 位數字,則=_________
4. 某一凸 n 邊形其中的(n-1)個內角和= 2021° ,則 n=_________。
5. 如下圖:梯形 ABCD 內部有一與三邊相切之半圓,圓心 O 在 AB 上,已知=______
7. 直角三角形 ABC 中,∠A=90°,,則 △ABC 的外接圓面積=__________
13.梯形 ABCD 中,∠A = ∠B = 90°,上取一點 P 使得∆PAD與∆PBC相似,則滿足此條件 的 P 點共有__________個
16.設,則A、B、C三數的大小關係為____________________
17.的餘式為__________
18.若ρ、q實數,不等式 的解為x > 8 或x < 2,則 ρ+q =___________
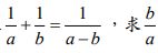
22.已知 a、b 為正實數且 = ______
23.已知 △ABC 中, ∠C = 90°、 為斜邊之高、 交於 F 點,則=___________
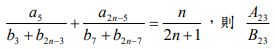
24.已知 An、 Bn 分別表等差數列 (an ) 、(bn )首 n 項之和,且對於任意正整數 n 皆有 =__________
25.如圖:已知 P 為△ABC 內部一點,連 且 ∠PBC = 30°、∠PBA = 8°、∠PAB = ∠PAC = 22° ,求 ∠APC = __________度
26.如右圖,ABCD 為邊長 1 的正方形,∆DEF為正三角形,則∆BEF的面積為__________
28.=_______ (有理化分母)
29.如圖,正方形 DEFG 內接於∆ABC,上,已知∆ADG、∆BDE、∆CGF的面積分別為 1、 3、1,則∆ABC的面積為__________
32.設x、y皆為整數,且 ,則 x 2 + y 2 =____________
33.試求方程式x 2 − 3x + = 8全部實根的乘積為__________
34.若abc = 1,解方程式= 2021,x =_______________
三、計算題(每題 5 分,共 3 題)(需有計算過程,否則不予計分) 1. 已知 △ABC 內切圓與三邊 切於 D、E、F,若內切圓半徑=4,且 的長度是連續整數,則△ABC 之周長=__________
2. 在∆ABC中, =________(請用國中方法解題,勿使用 三角函數或解析幾何)
3. 在ΔABC中,,且ΔAEF的面積與ΔBCE的面積相等,若ΔABC的面積為a、ΔCEF的面積b,則 =_____________