所屬科目:流體力學
一、一個 U 形管固定在靜止平台 B 上面,若平台 B 以 4 rad/s 對 A-A 軸旋 轉,U 形管兩邊水面的高差為何?(20 分)
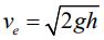
二、一個球形筒子,半徑 R = 1 m,其底部有開孔用以排水,開孔的直徑為 1 cm,且通過開孔的流速 ,其中 h 為液面到開孔的距離,如下 圖所示。當圓筒為半滿時,需多少時間方可將水排完?(20 分)
四、利用泵將水由水井往上抽到水桶,再經由水桶側邊的三角形堰排出。桶 底到水井液面的高度為 2 m;水管的長度為 2.5 m,管徑為 5 cm,其摩擦 因子為 0.02;水管中的水流速度為 v;泵可提供的水頭為 20 m;三角形 堰的角度為 60 度,堰底距水桶底部的高度為 1 m,且三角形堰無能量損 失;試推求水桶的水深 h 為何?假設水流經水井進入水管及由水管進入水桶的能量損失分別為 。(20 分)
五、水流由管徑 40 mm 的水管射出,其流量為 0.008 m3/s,之後水流會撞擊 到圓盤閥(disk valve),當圓盤閥距管口 x = 1 mm 時,圓盤閥承受多少 力?(20 分)