所屬科目:研究所、轉學考(插大)◆統計學
(c) What is the moment generating function of X, , where t ≤ O? (10 points) Hint: Use incomplete gamma function:
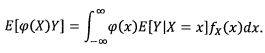
2.(15 points) Let X and Y be continuous random variables having a joint density. Suppose that Y andφ(X)Y have finite expectation. Show that