題組內容
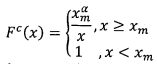
1. If X is a random variable with Pareto distribution, then the probability that X is greater than some
number x, ie. the complementary CDF, is given by
, where xm is the (necessarily positive) minimum possible value of X, and a is a positive parameter.
(c) What is the moment generating function of X,
, where t ≤ O? (10 points)
Hint: Use incomplete gamma function: