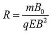
8. The unit of magnetic induction field B is denoted as [B]=[N]/[A.m] and the electric field is [E]=[V] /[m], where [N] is Newton, [A] Ampere [V] Volt, and [m] meter. The clectric field due to an infinite non-conducting plane with uniform surface charge densityσ is given by E=σ /2ε0, where ε0 is the electric constant. On the other hand, the magnetic induction inside an ideal solenoid with steady current I is given by B= μ0nl , where μ0 is the magnetic constant and n is the number of turns per unit length. By using these hints, the quantity
has the dimension of (A)pressure (B) charge current (C) angular momentum (D) resistance.