複選題
3. Which of the following is correct?(A) Given physical quantities A and B of the same dimension (e.g. they are both the
lengths of something), and quantities C and D of the same dimension, if D is uniquely determined by A, B, and C, there must
be some num nerical constants k and n (of no dimension) such that D = kC(A/B)n. (B) The moon is orbiting around the
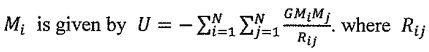
earth with roughly the samne period as that for its spinning around its own axis. (C) The gravitational potential energy for N
point masses
is the distance between particle i and particle j, and G is
the Newton constant. (D) As the kinetic energy is given by a diffcrent formula, the total energy of an isolated system is not
conserved in special relativity. (E) The friction is a conservative force.
GMMI