所屬科目:工程數學(應用數學, 線性代數、微分方程、複變函數與機率)
1 若多項式 p1 ( x ) = x 2 - 2 x + 1, p2 ( x ) = 2 x 2 + ax - 1, p3 ( x ) = x 2 + x + b 所拓展(span)的子空間維度為 3,則(a, b)為何? (A) (B) (-1, -2) (C) (D)
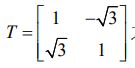
2 某向量經過線性轉換(linear transformation) 之後,長度被放大 r 倍,逆時針旋轉 角度θ。r 和θ分別為何? (A) r = 3, θ = 60° (B) r = 1, θ = - 30° (C) r = 2, θ = 60° (D) r = 2, θ = - 30°
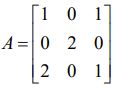
3 矩陣 ,則 det( A 5) 為何? (A) 32 (B)0 (C) -16 (D) -32
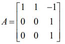
4 矩陣 ,下列何者為其特徵向量(eigenvector)? (A) (B) (C) (D)
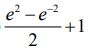
5 令 z = x + iy ,i 為單位虛數,則 的虛部為何? (A) (B) (C) (D)
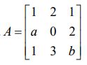
6 矩陣 ,其特徵多項式(characteristic polynomial)為 λ 3 + cλ 2 + 3λ - 2 。則 4a + b + c 為何? (A) -16 (B) -7 (C) -2.5 (D) -2 ∞
7 微分方程式 y' + cos( x) y = 1,初始值 y (π ) = A。若 y ( x ) 的級數解為 ,則 a3 為何? (A)1 (B) (C)A (D)
8 函數 , - 1 ≤ x ≤ 1,其傅立葉級數(Fourier series)在 x = -1 時收斂於 A ,在 x = 0 時收斂 於 B ,在 x = 1 時收斂於 C 。則 A + B + C 為何? (A) (B) (C) (D)
9 考慮定義於頂點為 (0, 0) 、 (3, 0) 、 (2, 2) 的三角形的連續隨機變數 X 和 Y ,其機率密度函數 (probability density function)為均勻分配(uniform distribution)。機率 為何? (A)3/8 (B)3/4 (C)1/2 (D)4/5
10 連 續 隨 機 變 數 X 和 Y 的 結 合 機 率 密 度 函 數 ( joint probability density function ) 為 ,則 0 ≤ y ≤ 3 區間內的邊際(marginal)機率密度函數 為何? (A) (B) (C) (D)
11 矩陣 的秩(rank)為何? (A)1 (B)2 (C)3 (D)4
13 已知一個3×3矩陣B的特徵值(eigenvalues)為 0, 1, 2,請問這些已知資訊尚不足以決定下列那個 值? (A)B的秩(rank) (B)的特徵值 (C)的行列式值 (D)的特徵值
14 有一投影矩陣,其中A為 m×n 矩陣,其秩為n。請問下列何者錯誤? (A) (B) (C)P 2 =P (D)
15 下列何者是級數的收斂區域? (A) (B)|z+i|<1 (C)|z+i|<2 (D)|z+i|<4
16 微分方程式 y''+3 y' + 2 y = f (t ) ,初始值 y (0) = y'(0) = 0 。若 y (t ) 的拉式轉換(Laplace transform) 為 ,則 f (t ) 為何? (A) (B) (C) (D)
17 積分方程式的解為何? (A)y(t)= cos t (B)y(t)= sin t (C)y(t)= cos t + sin t (D)y(t)=et
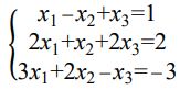
一、限定使用反矩陣法求解下列線性方程組。
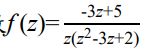
二、已知函數 ,求圍線積分 ,其中 c為之圓且路徑為逆時針方向。
三、假設函數 f (x)=x+π,且-π<x<π(週期為 2π) ,試求傅立葉(Fourier)級數展開式並以此結果驗證下列等式成立。