所屬科目:流體力學
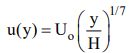
一、一條河流的水深為 H = 4.0 m,水平向流速之垂向分布(y-dir)為:流速 U o = 3.0 m/s。河道中有一個圓柱形橋墩(直徑 2.0 m),圓柱體的阻 力係數為 1.10。試求:(一)橋墩所受的水流衝擊力?(10 分);(二)橋墩基 礎所受的總力矩?(10 分)
二、一個大型蓄水池的水面位於高程 50 m 處,池底接一條長度 100 m 的圓 管,管線出水口的高程為 30 m。光滑圓管的摩擦係數為:Re 為雷諾數。管線可選擇採用直徑 8 cm 或 9 cm 光滑圓管,試問那一條 管的流量較大?(5 分)其流量各為何?(15 分)
三、一個噴嘴的設計如下圖,噴嘴直徑 0.08 m,水噴出後與空氣接觸。後端 管線直徑 0.2 m,壓力 P1 = 50 kPa,流量 Q1 = 0.06 m3/s。重力在 z 方向, 試求此段管線在 x 和 y 方向所受之力及其方向?(20 分)
四、一個矩形滯洪池(長度 6.0 m,寬度 6.0 m,高度 3.0 m)如下圖。在靠近 池底 0.3 m 處設置一方形斷面之孔口堰(高度、寬度 0.4 m),孔口堰的 流量係數為 0.65。暴雨來時,滯洪池中水深達 2.5 m。若無入流,試問多 久之後水深會降至離底部 0.70 m 處?(20 分)
五、一個水箱水平向的斷面積為 1.0 m2,水箱底部裝有輪子,內部水深為 2.0 m, 如下圖。水箱底部壁面有一小孔,斷面積為 0.01 m2,流量係數為 0.65。當 小孔開口突然打開,忽略輪子、空水箱的質量,以及輪子與地面之間的 摩擦阻力,求水箱移動的加速度?(20 分)