所屬科目:工程數學(應用數學, 線性代數、微分方程、複變函數與機率)
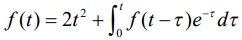
一、 ,求解 f (t ) 。
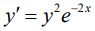
二、求 的通解(general solution) 。
四、曲 線 C 的 參 數 表 示 式 為 x = t 3 , y = -t , z = t 2 ; 而 1 ≤ t ≤ 2 , 求 。
(三)求 P,使 為 A 之對角化(diagonalized)矩陣。