阿摩線上測驗
登入
首頁
>
工程數學(應用數學, 線性代數、微分方程、複變函數與機率)
>
110年 - 110 專技高考_電機工程技師:工程數學(包括線性代數、微分方程、複變函數與機率)#104145
> 申論題
題組內容
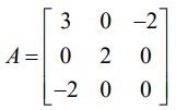
六、
(二)求特徵值(eigenvalues)與其對應的特徵向量(eigenvectors) 。
相關申論題
一、 ,求解 f (t ) 。
#440419
二、求 的通解(general solution) 。
#440420
三、求 f ( x) = x - x 2 的傅立葉展開(Fourier expansion) 。
#440421
四、曲 線 C 的 參 數 表 示 式 為 x = t 3 , y = -t , z = t 2 ; 而 1 ≤ t ≤ 2 , 求 。
#440422
五、求 f ( x, y, z ) = x 2 y - xy 2 + xz 2 在點 (1, - 1, 1) 延 (1, - 2, 1) 方向的改變率(rate of change) 。
#440423
(一)求其行列式值(determinant)。
#440424
(三)求 P,使 為 A 之對角化(diagonalized)矩陣。
#440426
七、機率函數 p ( x) = a ( x = 1) 其中0 ≤ x ≤ 2,求該機率函數的期望值(expected value)及變異數(variance)。
#440427
(二)求得矩陣 A 之零空間(Null Space)N( A )。(10 分)
#557492
(一)求得線性方程式 Ax=b 之完整解(Complete Solution) 。(20 分)
#557491
相關試卷
114年 - 114 專技高考_電機工程技師:工程數學(包括線性代數、微分方程、複變函數與機率)#133679
114年 · #133679
114年 - 114 專技高考_電子工程技師:工程數學(包括線性代數、微分方程、向量分析、複變函數與機率)#133677
114年 · #133677
114年 - 114 調查特種考試_三等_電子科學組:工程數學#129578
114年 · #129578
114年 - 114 國家安全情報特種考試_三等_電子組(選試英文):工程數學#127780
114年 · #127780
113年 - 113 專技高考_電子工程技師:工程數學(包括線性代數、微分方程、向量分析、複變函數與機率)#123976
113年 · #123976
113年 - 113 專技高考_電機工程技師:工程數學(包括線性代數、微分方程、複變函數與機率)#123971
113年 · #123971
113年 - 113 調查特種考試_三等_電子科學組:工程數學#122110
113年 · #122110
113年 - 113 身心障礙特種考試_三等_電力工程:工程數學#119517
113年 · #119517
112年 - 112 地方政府特種考試_三等_電力工程、電子工程:工程數學#118376
112年 · #118376
112年 - 112 專技高考_電機工程技師:工程數學(包括線性代數、微分方程、複變函數與機率)#117639
112年 · #117639