所屬科目:工程數學(應用數學, 線性代數、微分方程、複變函數與機率)
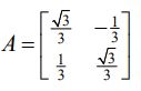
(二)求 A 的反矩陣 (inverse of A)。
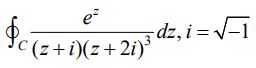
二、設求 。
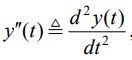
三、求解 y''(t ) + 9 y (t ) = sin 2t + δ(t - 1) , y'(0) = 1, y (0) =0,其中 , , δ(∙) 為單位脈衝函數 ( unit impulse function/Dirac delta dt function) 。
(三)Y 的機率密度函數: 。