阿摩線上測驗
登入
首頁
>
工程數學(應用數學, 線性代數、微分方程、複變函數與機率)
>
110年 - 110 調查特種考試_三等_電子科學組:工程數學#103128
> 申論題
題組內容
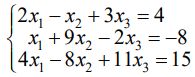
一、考慮下列系統
令
(一)求 A 的行列式值(determinant of A)。
相關申論題
(二)求 A 的反矩陣 (inverse of A)。
#435323
(三)求解(x1, x2, x3)。
#435324
二、設求 。
#435325
三、求解 y''(t ) + 9 y (t ) = sin 2t + δ(t - 1) , y'(0) = 1, y (0) =0,其中 , , δ(∙) 為單位脈衝函數 ( unit impulse function/Dirac delta dt function) 。
#435326
(一)求 f(t)的拉氏轉換(Laplace transform)F(s)。
#435327
(二)求 g(t)的拉氏轉換(Laplace transform)G(s)。
#435328
五、設 C 為複數平面上 |z |= 3 之圓,求解:
#435329
(一)X 的期望值(expected value): E [ X ] 。
#435330
(二) X 2 的期望值: E [ X 2 ]。
#435331
(三)Y 的機率密度函數: 。
#435332
相關試卷
114年 - 114 專技高考_電機工程技師:工程數學(包括線性代數、微分方程、複變函數與機率)#133679
114年 · #133679
114年 - 114 專技高考_電子工程技師:工程數學(包括線性代數、微分方程、向量分析、複變函數與機率)#133677
114年 · #133677
114年 - 114 調查特種考試_三等_電子科學組:工程數學#129578
114年 · #129578
114年 - 114 國家安全情報特種考試_三等_電子組(選試英文):工程數學#127780
114年 · #127780
113年 - 113 專技高考_電子工程技師:工程數學(包括線性代數、微分方程、向量分析、複變函數與機率)#123976
113年 · #123976
113年 - 113 專技高考_電機工程技師:工程數學(包括線性代數、微分方程、複變函數與機率)#123971
113年 · #123971
113年 - 113 調查特種考試_三等_電子科學組:工程數學#122110
113年 · #122110
113年 - 113 身心障礙特種考試_三等_電力工程:工程數學#119517
113年 · #119517
112年 - 112 地方政府特種考試_三等_電力工程、電子工程:工程數學#118376
112年 · #118376
112年 - 112 專技高考_電機工程技師:工程數學(包括線性代數、微分方程、複變函數與機率)#117639
112年 · #117639