所屬科目:電磁學
三、如圖,有一個無窮大的平面電流分布(朝出紙面方向, zˆ 方向) ,其面電流密度為 (單位:A/m) ,請利用安培定律求電流分布上下兩側區域(y>0 和 y<0)的磁場
。
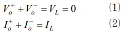
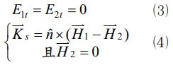
四、有關傳輸線不連續處(底下以終端負載為短路為例)的電壓反射係數的推導,如圖所示設入射波為 I o e z ,反射波為 I o e z ,則在短路負載處(z=0)的終端條件為:一般認為這兩個終端條件乃是基於 z=0 處的克希荷夫電壓定律以及電流定律;請證明⑴和⑵兩式直接和底下 z=0 處的電場邊界條件以及磁場邊界條件相關:亦即,(一)請由⑶式推導出⑴式。(二)請由⑷式推導出⑵式。[提示]:請利用圖及圖,想像傳輸線上的電流 I 是源自一個無窮大的平面電流中寬度為 W 的一段電流,故推導過程中可以忽略邊緣效應。
(二)若納入法拉第感應定律,且設前述迴路電流對應的磁通密度為均勻的且 (Tesla),求其對應的磁通量 Φ 以及感應電動勢 vemf。