所屬科目:教甄◆數學
2. 投擲一枚不均勻的硬幣,已知正面出現的機率是,反覆投擲,設數列定義如下:,若,則事件「S8=2」的機率為____________。
3. 若一個正八面體的頂點恰好為一個正立方體各面的中心點(即各面對角線之交點),設正八面體 的體積為a,正立方體的體積為 b,求=_____________。(以最簡分數表示)
4. 設ω為方程式x5=i的一根,試求| 1-ω |的最大值。____________ (請以asinθ表示,其中a>0,θ為銳角)
5. 設 α 是方程式log3x+x-3=0 的一根,β 是方程式之一根,則 =____________。
7. 一個凸四邊形 ABCD,已知,且∠ADC=∠ABC=90°,則內積=____________。
9. 相機的影像是光線投射在一片長方形的感光元件(CMOS)上, 再轉換為電子訊號儲存在記憶體中,我們看到的相片為由此感 光元件接收到之光線所呈現。已知相機在拍攝時,因為光線的 折射與感光元件等因素會導致影像變形。假設有一款手機上的 相機,在初始設計上影像會產生線性變形,即照片上的影像為 真實影像產生旋轉、伸縮、推移等線性變換。如下圖,為了校 正此變形,設定一個座標平面上的正方形 ABCD,其中 O 為原點,A(1 , 0)、B(1 , 1)、C(0 , 1), 以此相機拍攝此正方形後,相片上呈現平行四邊形OA′B′C ′的影像,其中 A、B、C 分別變換至A′、B′、C′,且。工程師發現此變形是影像先產生沿 x 軸方向的推移變換,然後再以原點 O 為中心旋轉θ角所導致,於是工程師利用軟體將照片上的影像坐標先旋 轉−θ角,再經由一個二階方陣 M 線性變換為正確的影像坐標,則此方陣 M 為____________。
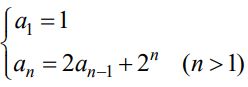
10. 一數列滿足遞迴式,試求一般式= ____________。
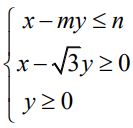
12. 坐標平面上一直線x-my=n(n>0)過點,若 所圍成之區域的外接圓直徑為 20,則n =____________。
13. 坐標平面上,在圓 上取兩點 A、B,使此兩點在 x 軸上方,且摺回劣弧使其 恰與 x 軸相切於(1, 0),則直線 的直線方程式為____________。
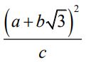
14. 假設地球是完美的球形,沿著北緯 60° 線將地球剖成兩塊,若小塊的體積:大塊的體積比=1: ,其中a,b,c ∈ N,且c為質數。求數組(a,b,c) =____________。
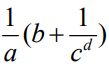
15. 有一個不公正的硬幣,投出正面的機率為,投出反面的機率為,若投擲 50 次,則硬幣出現 2k次(k=0,1,2,…,25)正面的機率為,其中 a,b,c, d ∈ N,且c為質數。求數組(a,b,c,d) =____________。
16. 一個正立方體的裝置藝術斜立在公園的平地上,如圖所示。為了穩固此裝置藝術,除了將 O 點落在地面上,還在 A、B、C 四處各架上一根垂直地面的鐵柱,分別為。 已知此正立方體的邊長 5 公尺,且,則 =____________公尺。
1. 設f(x),g(x)為可微分函數,請證明(f(x)•g(x))'=f'(x)•g(x)+f(x)•g'(x)。(5 分)
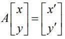
2. 坐標平面上,將點 P(x,y) 以原點為中心旋轉θ角得到P (x' ,y' ),設二階方陣 A 使得, 請證明 A=。(5 分)