所屬科目:教甄◆數學
1. 設= 10﹐則 y3 - x3 + 3xy = ____________。
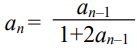
2. 若數列<>滿足 a1 = 1﹐ ﹐n ≥ 2﹐n∈N﹐則 = ____________。 (以 n 表示)
3. Sn == ____________。
4. 設 n 為自然數﹐若﹐則 n = ____________。
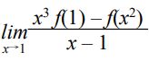
6. 設 f (x)為可微分函數﹐若 f (1) = a﹐f '(1) = b﹐a、b∈R﹐則 =____________。 (以a、b 表之)
10. 如圖﹐A 柱中有 n 個大小不同的圓盤由大而小往上堆疊﹐若要從 A 柱全部搬移至 B 柱﹐每次只能 搬動一圓盤﹐且每次都必須先經中間柱(不可由 A 直接放入 B)且大盤不可放在小盤之上﹐設共要搬動次﹐若﹐求數對(p﹐k) =____________。
12. 參考下圖﹐矩形 ABCD 中﹐ 為直徑作半圓交於 P﹐則鋪色區域面積為____________。
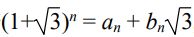
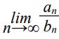
14. n∈N, 若, 其中為有理數, 則=____________。
15. n∈N, 已知 a1=1, 且時, , 若 f(x) 在區間(0, 1]為連續, 則 =____________。
17. 用紅、綠兩色將下方格子塗色, 若紅色格子的右邊不能緊接著紅色, 且每一個格子都要上色, 則 共有________種著色方法。
20. 從= 1 的所有複數根中, 任選相異兩根 z1, z2,則 |z1 – z2| < 的機率為__________。