所屬科目:技檢◆電腦軟體設計-Java-乙級
2. 一 Java 程式片段如下,當 x 數值為何時會印出"B"?(A)2(B)0(C)1(D)3。
5. 以下 Java 程式執行完後,輸出結果為何?(A)無法編譯,因為 Rectangle 類別沒有預設建構子(B)0.0(C)無法編譯,因為 Shapes 類別設定為 abstract 而無法產生 Rectangle 物件(D)無法編譯,因為 Shapes 物件不是 Rectangle 類別。
23. 針對以下 Java 程式片段,執行後 x 值為何?(A)2(B)1(C)3 (D)0。
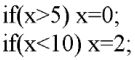
27. 假設 x 為一整數變數,且 x 已有初始值若有一 C 程式片段如下,請問其執行效果等同下列何者?(A)if(x<10)x=2 else if(x>5)x=0;(B)if((x>5)||(x<10))x=0 ;(C)if((x>5)&&(x<10))x =2;(D)if(x<10)x=2 else if(x<5)x=0;。
30. 加入節點 17 於下圖中的 AVL Tree,下列敘述何者是正確?(A)異動後之 AV L Tree 其樹根為 12(B)異動後之 AVL Tree 其樹根為 10(C)異動後之 AVL Tree 其樹根為 11(D)異動後之 AVL Tree 其樹根為 13。
34. 下列敘述何者是正確的?(A) (B)對於一個時間複雜度為 O(1)的演算法而言,不管其輸入資料量(Input Size)為何,其所需記憶體大小是固定的(C) (D) 。
42. 一 Java 程式片段如下,執行後下列何者為其輸出?
(A)1 2 3 4(B)1 2(C)1 2 3(D)1。
43. 若 X 進制的三個數字有下列關係存在,則 x 為多少?(A)3(B)6(C)5(D)4。
46. 下圖為一個二元樹(Binary Tree),下列之描述何者是正確的?
(A)AVL Tree(B)Complete Binary Tree (C)B+ Tree(D)Heap。
49. 下列 C/C++程式片段,輸出結果何者正確?
(A)3(B)4(C)1 (D)2。
72. 執行完下列 Java 語言程式片段後,印出以下那些結果?
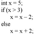
(A)d(B)20(C)X(D)x -20。