阿摩線上測驗
登入
首頁
>
技檢◆電腦軟體設計-Java-乙級
> 114年 - 11901 電腦軟體設計(JAVA) 乙級 工作項目 01:Java 51-100(2025/12/16 更新)#134963
114年 - 11901 電腦軟體設計(JAVA) 乙級 工作項目 01:Java 51-100(2025/12/16 更新)#134963
科目:
技檢◆電腦軟體設計-Java-乙級 |
年份:
114年 |
選擇題數:
50 |
申論題數:
0
試卷資訊
所屬科目:
技檢◆電腦軟體設計-Java-乙級
選擇題 (50)
51. 若一 Java 程式的 Recursive Method 沒有基本案例(Base Case),下述何者正確? (A)程式將產生不正確結果 (B)產生編譯錯誤 (C)產生MissingBaseCaseException (D)程式無法停止 。
52. 關於程式設計師定義的 Java 程式 Exception 類別,下述何者正確? (A)可以從現存任何類別導出 (B)必須定義兩個以上的建構子 (C)必須有兩個以上的 instance 變數 (D)必須從 Exception 或其子類別導出 。
53. 關於 Java 程式 Exception 類別的建構子的參數敘述,下述何者正確? (A)代表 Exception 的編碼 (B)一個布林值,判斷程式是否應該停止 (C)一個字串顯示 Exception 的訊息 (D)一個布林值代表程式是否暫停 。
54. 當 Java 程式產生一個 Exception 物件被 throw 時,下列何者正確? (A)該物件被刪除 (B)該物件被垃圾收集機制回收 (C)程式會暫停 (D)會被相關catch 區塊處理 。
55. 關於 Java 程式的 try-catch 區塊處理,以下那一個敘述正確? (A)必須使用 method 處理 (B)相同的 method 可以處理多個 try-catch 區塊 (C)相同的method 只能有一個 catch 區塊 (D)catch 區塊必須包含程式停止的指令 。
56. 下列何種 Java 資料型態,程式執行時不可以改變其長度? (A)Array (B)ArrayList (C)String (D)Vector 。
57. Java 語言的介面(Interface)屬於何種物件導向機制? (A)Encapsulation (B)Abstraction (C)Polymorphism (D)Specialization 。
58. 若一個 Java 類別使用一個介面(Interface),它必須使用以下那一個關鍵字? (A)extends (B)inherits (C)super (D)implements 。
59. Java 語言介面(Interface)的所有的方法(method),會使用以下那一個修飾子? (A)public (B)private (C)protected (D)package 。
60. 一個 Java 語言類別實做一個有三個方法的介面(Interface),並實做其中一個 method,則此類別為以下那一種型態的類別? (A)Concrete (B)Abstract (C)Discrete (D)Friend 。
61. 有關 Java 語言介面(Interface)的敘述,下列何者正確? (A)可包含Instance 變數 (B)可包含 Primitive 變數 (C)可包含 Constant 變數 (D)可包含Dynamic 變數 。
62. 有關 Java 語言介面(Interface)方法(method)定義的存取權限,會使用以下那一個修飾子? (A)public (B)private (C)protected (D)package 。
63. 以下 Java 程式執行後,何者輸出正確?
(A)沒有任何輸出 (B)b is aninstance of A, (C)b is an instance of C, (D)b is an instance of A,b is aninstance of C, 。
64. 以下 Java 程式執行後,何者輸出正確?
(A)AB (B)BA (C)AA (D)BB 。
65. 以下 Java 程式執行後,何者輸出正確?
(A)沒有任何輸出 (B)Theconstructor of B is invoked (C)The default constructor of A isinvoked,The constructor of B is invoked (D)The default constructor of Ais invoked, 。
66. 以下 Java 程式執行完後,輸出結果為何?
(A)WindPlay (B)沒有任何輸出(C)可以編譯無法執行 (D)無法編譯 。
67. 以下 Java 程式執行完後,輸出結果為何?
(A)BrassPlay (B)沒有任何輸出(C)可以編譯無法執行 (D)無法編譯 。
68. 以下 Java 程式執行完後,輸出結果為何?
(A)WindPlay (B)沒有任何輸出(C)可以編譯無法執行 (D)無法編譯 。
69. 以下 Java 程式執行完後,輸出結果為何?
(A)WindPlay (B)BrassPlay (C)無法編譯,因為 Instrument 類別設定為 abstract (D)無法編譯,因為 Brass物件不是 Wind 類別 。
70. 以下 Java 程式執行完後,輸出結果為何?
(A)無法編譯,因為 Instrument物件不是 Brass 類別 (B)BrassPlay (C)無法編譯,因為 Instrument 類別設定為 abstract (D)無法編譯,因為 Instrument 類別的 play()方法沒有設定為 abstract 。
71. 以下 Java 程式執行完後,輸出結果為何?
(A)無法編譯,因為 Instrument物件不是 Brass 類別 (B)BrassPlay (C)無法編譯,因為 Instrument 類別設定為 abstract (D)無法編譯,因為 Instrument 類別的 play()方法設定為abstract 。
72. 以下 Java 程式執行完後,輸出結果為何?
(A)無法編譯,因為 Shapes 物件不是 Rectangle 類別 (B)0.0 (C)無法編譯,因為 Shapes 類別設定為abstract 而無法產生 Rectangle 物件 (D)無法編譯,因為 Rectangle 類別沒有預設建構子 。
73. 以下 Java 程式執行完後,輸出結果為何?
(A)無法編譯,因為 Shapes 物件不是 Rectangle 類別 (B)12.0 (C)無法編譯,因為 Shapes 類別設定為abstract 而無法產生 Rectangle 物件 (D)0 。
74. 以下 Java 程式執行完後,輸出結果為何?
(A)無法編譯,因為 Shapes 類別不能 implements Compareable (B)1 (C)無法編譯,因為 Shapes 類別設定為 abstract 而無法產生 Rectangle 物件 (D)0 。
75. 以下 Java 程式執行完後,輸出結果為何?
(A)無法編譯,因為 Rectangle類別不能同時 extends 一個類別且 implemets 一個介面 (B)無法編譯,因為 Shapes 類別沒有 compareTo 方法 (C)無法編譯,因為 Shapes 類別設定為 abstract 而無法產生 Rectangle 物件 (D)0 。
76. 下列何者為 Java 語言的關鍵字? (A)implements (B)Float (C)sizeof (D)that 。
77. 下列何者為 Java 語言的關鍵字? (A)string (B)Float (C)Double (D)interface 。
78. 一 Java 程式片段如下,下列那一個 x 數值會讓程式印出"C"?
(A)0 (B)1(C)2 (D)3 。
79. 一 Java 程式片段如下,當 x 數值為何時會印出"B"?
(A)0 (B)1 (C)2 (D)3 。
80. 在 Java 語言中,下列何者為有效的 float 宣告? (A)float x=-128; (B)floatx=3.5X; (C)float x=10.2D; (D)float x=25L; 。
81. 在 Java 語言中,下列何者為有效的 String 宣告? (A)String s='null'; (B)String s='NULL'; (C)String s=null; (D)String s=NULL; 。
82. 一 Java 程式片段如下 String s = "hello";,下列何者為正確? (A)s+3=s;(B)s=s-3; (C)char c=s[3]; (D)s=s+s.length(); 。
83. 下列二維整數陣列宣告,何者正確? (A)int a [][] = new int [3,3]; (B)int a[3][3] = new int [][]; (C)int a[][] = new int [3][3]; (D)int a[] = new int[3][3]; 。
84. 一 Java 程式片段如下,執行後 y 值為何?
(A)10 (B)20 (C)25 (D)30 。
85. 一 Java 程式片段如下,執行後 y 值為何?
(A)1 (B)2 (C)3 (D)4 。
86. 一 Java 程式片段如下,執行後 x 值為何?
(A)5 (B)6 (C)7 (D)8 。
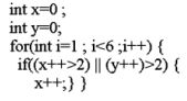
87. 一 Java 程式片段如下,執行後 x 值為何?
(A)5 (B)6 (C)7 (D)8 。
88. 一 Java 程式片段如下,執行後 y 值為何?
(A)2 (B)4 (C)6 (D)8 。
89. 一 Java 程式片段如下,執行後下列何者為其輸出?
(A)1 (B)2 (C)11 (D)22 。
90. 一 Java 程式片段如下,執行後下列何者為其輸出?
(A)1 (B)2 (C)11 (D)22 。
91. 一 Java 程式片段如下,執行後下列何者為其輸出?
(A)Hello (B)Java! (C)Hello Java! (D)編譯錯誤無輸出 。
92. 一 Java 程式片段如下,執行後下列何者為其輸出?
(A)Michael (B)Eric (C)Jeff (D)Joel 。
93. 一 Java 程式片段如下,執行後下列何者為其輸出?
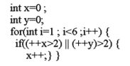
(A)Michael (B)Eric (C)Jeff (D)Joel 。
94. 一 Java 程式片段如下,執行後下列何者為其輸出?
(A)[a, saw] (B)[I,saw] (C)[I, that] (D)[that, saw] 。
95. 一 Java 程式片段如下,執行後下列何者為其輸出?
(A)[a, saw] (B)[I,saw] (C)[I, that] (D)[I, a, saw, that] 。
96. 一 Java 程式片段如下,執行後下列何者為其輸出?
(A)[a, saw] (B)[I,saw] (C)[I, that] (D)[I, a, saw, that] 。
97. 一 Java 程式片段如下,執行後下列何者為其輸出?
(A)[] (B)[a, saw] (C)[I,that] (D)[I, a, saw, that] 。
98. 一 Java 程式片段如下,執行後下列何者為其輸出?
(A)1 (B)1 2 (C)1 2 3(D)1 2 3 4 。
99. 一 Java 程式片段如下,執行後下列何者為其輸出?
(A)1 (B)1 2 (C)1 2 3(D)1 2 3 1 。
100. 一 Java 程式片段如下,執行後下列何者為其輸出?
(A)1 (B)2 (C)true (D)false 。
申論題 (0)
相關試卷
114年 - 11901 電腦軟體設計(JAVA) 乙級 工作項目 01:Java 151-180(2025/12/16 更新)#134965
114年 · #134965
114年 - 11901 電腦軟體設計(JAVA) 乙級 工作項目 01:Java 101-150(2025/12/16 更新)#134964
114年 · #134964
114年 - 11901 電腦軟體設計(JAVA) 乙級 工作項目 01:Java 1-50(2025/12/16 更新)#134962
114年 · #134962
114年 - 114-2 全國技術士技能檢定學科(丹娜絲颱風延期考區)_乙級:11901 電腦軟體設計(JAVA)#131032
114年 · #131032
114年 - 114-2 全國技術士技能檢定學科_乙級:11901 電腦軟體設計(JAVA)#130229
114年 · #130229
111年 - 111-2 全國技術士技能檢定學科_乙級:11901 電腦軟體設計(JAVA)#131396
111年 · #131396
110年 - 110-2 全國技術士技能檢定學科_乙級:11901電腦軟體設計(JAVA)#112840
110年 · #112840
109年 - 109-2 技術士技能檢定學科_乙級:11901電腦軟體設計(JAVA)#88235
109年 · #88235
108年 - 108-2 技術士技能檢定學科測試試題-乙級:11901 電腦軟體設計(JAVA)#81903
108年 · #81903