所屬科目:技檢◆電腦軟體設計-Java-乙級
(A)1 (B)2 (C)true (D)false 。
(A)[A, B] (B)[A, B, C,D] (C)true (D)false 。
(A)[C,D] (B)[A, B, C,D] (C)true (D)false 。
(A)[A, B, C, D] (B)[A, B, C, D, A, B] (C)[A, B, C, D, [A], [B]] (D)[A, B, C, D, [A, B]] 。
(A)[A, B, C, D] (B)[A, B, C, D, A, B] (C)[A, B, C, D, [A], [B]] (D)[A, A, B, B, C, D] 。
(A)[A, B, C, D] (B)[A, B, C, D, A, B] (C)可編譯,無法執行 (D)無法編譯 。
(A)A (B)B (C)可編譯,無法執行 (D)無法編譯 。
(A)印出 A (B)印出無限個 A (C)可編譯,無法執行 (D)無法編譯 。
(A)i=10 (B)i=9 (C)i=11 (D)Exception in thread "main"java.lang.AssertionError: i=10 at Ass.main(Ass.java:6) 。
(A)sum=10 (B)sum=55 (C)Exception in thread "main"java.lang.AssertionError: sum=1 at Ass.main(Ass.java:6) (D)Exception inthread "main" java.lang.AssertionError: sum=55 atAss.main(Ass.java:6) 。
(A)x=0 (B)x=5 (C)error(D)x=0 error 。
(A)0 (B)2 (C)4 (D)5 。
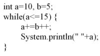
(A)14 (B)15 (C)20 (D)21 。
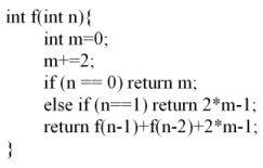
(A)14 (B)28 (C)42 (D)49 。
(A)10 (B)20 (C)30 (D)40 。
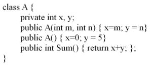
(A)A a = newA(3,5); 則 a.Sum() 之值為 8 (B)A a = new A (C); 則 a.Sum() 之值為 3(3)Aa =new A(); 則 a.Sum() 之值為 0 (D)A a = new A(2,5) A b = newA(a.Sum(),0) 則 b.Sum() 之值為 7 。
(A)1 (B)2 (C)3 (D)4 。
(A)50 (B)70 (C)90 (D)110 。
(A)9 (B)8 (C)7 (D)6 。
(A)d (B)X (C)x-20(D)20 。
(A)1 (B)4 (C)7 (D)100 。
(A)那一行印出 A, BB (B)( B )那一行印出 A,B (C)( C )那一行印出 B,B (D)( C )那一行印出 A,B 。
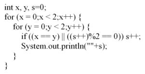
(A)6 (B)3 (C)2 (D)1 。
(A)0 (B)3 (C)5 (D)7 。
(A)第三行 "private void x() {"無法編譯 (B)第十行 "b.x();" 無法編譯 (C)第十四行"void x() {" 無法編譯(D)此程式會丟出一個 Exception 。
(A)private static float x(float f, int i, double d) { } (B)publicint x(float f, int i) throws WeatherException { } (C)public int x(float a,int b) {} (D)public int x(float a, int b) throws ColdException {} 。
(A)private (B)protected (C)friend (D)不需加修飾子 。