所屬科目:技檢◆電腦軟體設計-Java-乙級
1. 在處理器中位址匯流排有 32 條,可以定出多少記憶體位址? (A)512MB(B)4GB(C)1GB(D)2GB。
2. 根據美國國家標準與技術研究院(N IST)對雲端的定義,下列何者「不是」雲端運算(Cloud Comput ing)之服務模式?(A)軟體即服務(Software as a Service, SaaS)(B)內容即服務(Content as a Servi ce, CaaS)(C)基礎架構即服務(Infras tructu re as a Service, IaaS)(D)平台即服務(Pla tform as a Se rvice, PaaS)。
3. 有關公開金鑰基礎建設(Public Key Infrastructure, PKI)之敘述,下列何者「不正確」?(A)可用私 密金鑰簽署將公布之文件(B)公開金鑰必須對所有人保密(C)係基於非對稱式加解密演算法(D)可驗證 身分及資料來源。
4. 下列何者屬地下水超抽情形?(A)地下水抽水量「超越」天然補注量(B)地下水抽水量「低於」天然 補注量(C)天然補注量「超越」地下水抽水量(D)地下水抽水量「低於」降雨量。
5. 行為人以竊取等不正當方法取得營業秘密,下列敘述何者正確?(A)只要後續沒有洩漏便不構成犯 罪(B)只要後續沒有出現使用之行為便不構成犯罪(C)只要後續沒有造成所有人之損害便不構成犯罪 (D)已構成犯罪。
6. 行(受)賄罪成立要素之一為具有對價關係,而作為公務員職務之對價有「賄賂」或「不正利 益」,下列何者「不」屬於「賄賂」或「不正利益」?(A)招待吃米其林等級之高檔大餐(B)免除債 務(C)送百貨公司大額禮券(D)開工邀請公務員觀禮。
7. 一般而言,下列那一個不可能出現在資料庫的交易日誌(Transac tion Log)內?(A)操作時間(Time of Operation)(B)操作成本(Cost of Operation)(C)操作前映像(Before-Images )(D)操作型態(Type of Op eration)。
8. 下圖為一個無方向性(Undirected)的加權圖(We ighted Graph),頂點(Vertex)上的字母為其編號, 邊(Edge)上的數字代表成本(Cost),此圖形的最小展開樹(Minimum Spanning Tree)的總成本(Total Cost)是多少?
(A)27(B)31(C)29(D)33。
9. 有關一般建議的 Java 程式寫作風格,下述何者錯誤?(A)一個變數宣告使用一行比較好(B)程式寫作 儘量做結構化縮排,以方便閱讀(C)註解符號可以使用//...和/*...* /(D)程式設計師寫作風格不標準, 程式將無法編譯執行。
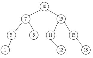
10. 加入節點 17 於下圖中的 AVL Tree,下列敘述何者是正確?
(A)異動後之 AV L Tree 其樹根節點為12(B)異動後之 AVL Tree 其葉節點共有 5 個(C)異動後之 AVL Tree 其分支度為 1 之節點共 4 個(D) 異動後之 AVL Tree 其 Preorder 為 10,7,5,1,8,13,11,12,15,17,18。
11. 對於吹哨者保護規定,下列敘述何者有誤?(A)任何情況下,事業單位都不得有不利勞工申訴人之 行為(B)勞動檢查機構受理勞工申訴必須保密(C)為實施勞動檢查,必要時得告知事業單位有關勞工 申訴人身分(D)事業單位不得對勞工申訴人終止勞動契約。
12. 在 C 語言中,如果作下列宣告,則 A ry[3][2 ]之值為何?(A)13(B)5(C)2(D)8。
13. 下列何種行為對生態環境會造成較大的衝擊?(A)設立國家公園(B)種植原生樹木(C)設立自然保護區 (D)引進外來物種。
14. 有關弱實體型態(Weak Entity Type) 所產生關聯表格的候選鍵(Candidate Key),何者有誤?(A)一 定只有一組(B)一定會有複合鍵(Composite Key)(C)部分是弱實體本身之屬性(D)部分是其他實體之屬 性。
15. 下列何者不是造成臺灣水資源減少的主要因素?(A)濫用水資源(B)超抽地下水(C)水庫淤積(D)雨水酸 化。
16. 有關 Java File 物件所提供的 method 操作,下列何者敘述錯誤?(A)測試檔案是否可寫入(B)測試檔 案是否存在(C)開檔及編修內容(D)測試檔案是否可讀。
17. 下列何者不是對稱式加密方法?(A)IDEA (B)AES(C)DES(D)RSA。
18. 若有 P1、P2、P3、P4 四個行程,每個行程的到達時間依序為第 0 秒、第 1 秒、第 3 秒、第 5 秒,而每個行程所需的時間依序為 7 秒、5 秒、4 秒、8 秒。若以最短工作先做排班法則(SJ F)且 是不可搶先(Nonpreemptive)的方式來排班,則其平均等待時間為何?(A)6.5 秒(B)6 秒(C)6.75 秒(D)6.25 秒。
19. 根據 IEEE 830 標準所探討的軟體需求規格(SRS),應對需求的穩定性(Stability )排序,下列何 者對穩定性的影響最小?(A)系統所欲支持的組織內部可能的人事異動(B)未來台灣系統廠商家數的 變化(C)系統所欲支持的組織外界政治、經濟環境變化(D)未來世界科技的演進。
20. 有關建築之外殼節能設計,下列敘述何者有誤?(A)開窗區域設置遮陽設備(B)宜採用全面玻璃造型 設計,以利自然採光(C)大開窗面避免設置於東西日曬方位(D)做好屋頂隔熱設施。
21. 有一高度為 3,分支度(Order)為 20 之 B-tree,根節點(Root Node)至少有多少個子節點(Child Nod e)?(A)2(B)10(C)20(D)3。
22. 「將資料定期備份」是屬於下列何種資訊安全之特性?(A)不可否認性(B)機密性(C)完整性(D)可用 性。
23. 下列何者為 Java 語言的關鍵字?(A)interface(B)Floa t(C)Double (D)string。
24. 對電子煙的敘述,何者錯誤?(A)含有尼古丁會成癮(B)含有毒致癌物質(C)會有爆炸危險(D)可以幫助 戒菸。
25. 公司負責人為了要節省開銷,將員工薪資以高報低來投保全民健保及勞保,是觸犯了刑法上之何 種罪刑?(A)詐欺罪(B)工商秘密罪(C)侵占罪(D)背信罪。
26. 下列 C/C++程式片段,若 x = 2,則 y 值為何?(A)9(B)2(C)3(D)7。
27. 若 n 大於 10 ,演算法的時間複雜度(Time Complexity)由小到大的排序,下列何者是正確的? (A) (B) (C) (D) 。
28. 下列仿 C 程式片段,若 n=5,程式執行後回傳(Re turn)值為何?
(A)3(B)2(C)8 (D)5。
29. 以下何者是消除職業病發生率之源頭管理對策?(A)使用個人防護具(B)改善作業環境(C)多運動(D)健 康檢查。
30. 依據台灣電力公司三段式時間電價(尖峰、半尖峰及離峰時段)的規定,請問哪個時段電價最便 宜?(A)非夏月半尖峰時段(B)尖峰時段(C)離峰時段(D)夏月半尖峰時段。
31. 有關 Java 語言的 Array 使用到超過所宣告的索引上限時,下述何者正確?(A)編譯執行沒有問題, 但會產生不正確的結果(B)產生編譯警告(C)產生編譯錯誤(D)編譯無誤,執行時期會產生錯誤。
32. UML 類別圖(Class Diagram)中的套件可視性(Package Visibility)的符號,以下何者正確?(A)/(B)# (C)+(D)~。
33. 一 Java 程式片段如下,執行後下列何者為其輸出?
(A)[A , B, C, D, A, B](B)[A, B, C, D, [A], [B]] (C)[A, B, C, D](D)[A, B, C, D, [A, B]]。
34. 相較傳統檔案,使用資料庫後,不可能做到下列那點?(A)資料共享(B)資料品質改善(C)完全沒有資 料重複(D)簡化程式維護。
35. 有關 TCP/IP 通訊協定的敘述,下列那一項是錯誤的?(A)TCP/IP 是網際網路的通訊協定(B)TCP 通 訊協定相對於 OSI 通訊協定中的第四層(C)TCP 是非連接(Connectionles s)導向的協定(D)IP 是 Inte rn et Protocol 的簡稱。
36. 下列為含有六個運算元之運算式,此運算式是以後序追蹤(Postorde r Traversal)方式表示,其中"*" 表示乘法運算,這些後序追蹤所對應的運算樹(Express ion Tree),其高度何者是最高?(A)1 2 3 * *4 5 * * 6 *(B)1 2 * 3 4 5 * * * 6 *(C)1 2 * 3 4 * * 5 6 * *(D)1 2 3 * * 4 * 5 * 6 * 。
37. 下列何者非屬職業安全衛生法規定之勞工法定義務?(A)定期接受健康檢查(B)實施自動檢查(C)遵守 安全衛生工作守則(D)參加安全衛生教育訓練。
38. Java 語言何時會自動定義建構子(Cons tructo r)?(A)程式沒有定義任何建構子時(B)程式沒有定義預 設建構子時(C)程式使用沒有參數的建構子時(D)程式的任何類別。
39. 對於核計勞工所得有無低於基本工資,下列敘述何者有誤?(A)應計入加班費(B)僅計入在正常工時 內之報酬(C)不計入休假日出勤加給之工資(D)不計入競賽獎金。
40. 下列有關物件導向的多型(Polymorphism)觀念,何者是不正確?(A)C++語言利用 Overload ing 達到 靜態多型(Static Polymorphism)的功能(B)C++語言利用 Virtual Function 達到動態多型的功能(C)多 型(Polymorphism)指同一訊息(Me ssage)在不同 c las s 中有不同對應的 Me thods(D)動態多型(Dynami c Polymorphism)與繼承(Inheritance)是兩個不相關的概念。
41. 集合式住宅的地下停車場需要維持通風良好的空氣品質,又要兼顧節能效益,下列的排風扇控制 方式何者是不恰當的?(A)淘汰老舊排風扇,改裝取得節能標章、適當容量高效率風扇(B)結合一氧 化碳偵測器,自動啟動/停止控制(C)設定每天早晚二次定期啟動排風扇(D)兩天一次運轉通風扇就好 了。
42. 下列有關 B-tree 與 B+ Tree 的敘述,何者是正確的?(A)索引循序檔(Indexed Sequential File)的設 計,一般採 B-tree 而不是 B +Tree 的結構(B)B-tre e 與 B+ Tree 的差異是 B+ Tree 的葉節點(Leave Node)加入引線(Thread)(C)在 B+ Tree 中,所有的鍵值(Key)是放在最底層(D)B+ Tree 中每個節點所 存放的鍵值,其空間之使用密度比 B-tree 高。
43. Java 語言將分號放在 if 指令敘述右小括號後面,會發生以下何種情況?(A)編譯錯誤(B)執行時期例 外錯誤(C)邏輯錯誤(D)語法錯誤。
44. 在 Java 語言中,下列何者為有效的 String 宣告?(A)String s=NULL;(B)String s='NULL';(C)String s= null;(D)String s='null';。
45. 下列何者在 C/C++語言中視為 fa lse?(A)0(B)-100(C)1(D)-1。
46. 在 UML 類別圖(Class Diagram)中,類別沒有自己直接的實例(Ins tances),稱為下列何者?(A)不完 全類別(Incomplete Class)(B)間接類別(Indirect Class)(C)空白類別(Empty Class)(D)抽象類別(Abstrac t Class)。
47. 有一規則表示(Regular Expression)文法可識別字串狀態表如下,下列何者為其規則表示?(1 為起 始狀態,4 為結束狀態)
(A)ab*a|abc*d(B)ab*c|abd*(C)aa*b|bacd*(D)a(bcda|cd a)*。
48. 下列有關 UDP 通訊協定的敘述何者正確?(A)UD P 封包標頭中有封包序號(Sequence)的欄位(B)UDP 封包標頭中有來源端的 IP 位址與目的地的 IP 位址(C)U D P 封包標頭的長度是固定的(D)UD P 封包標 頭中有錯誤檢查碼(Checksum)的欄位,其只針對封包標頭的部分來計算。
49. 下列有關 RISC(Reduced Instruction Set Computer)與 CISC(Complex Instruction Set Computer)的 敘述何者錯誤?(A)RISC CPU 的定址模式較少(B)通常對於完成同一應用程式時,所需的 RISC CPU 的指令數目少於 CISC CPU 的指令數目(C)CISC CPU 有較複雜的指令集(D)RISC CPU 的指令長度多 為固定。
50. 將 54 插入下圖之 2-3 樹中,總共有幾個節點會產生分裂(Sp lit)?
(A)3(B)0(C)2(D)1。
51. 有關資料表示,下列何者「不正確」?(A)1By te =8bits (B)(C)(D)。
52. 從一個擁有 n 個節點的鏈結串列刪除一個值為 x 之節點,在最壞情況下所需時間複雜度為多少? (A)θ(n log n)(B)θ(n)(C)θ(1)(D)θ(log n)。
53. 若軟體採外包,會訂定 RFP,那是什麼?(A)Rega rds for Planner(規劃師應知)(B)Requirements fo r Planner(規劃師應達成之要求)(C)Request for Proposals(徵求建議書)(D)Requirements for Pla nning(規劃所要之需求)。
54. 在 IEEE 830 標準所探討的軟體需求規格(SRS)中,下列何者不是欲達成可修改(Mod ifiable )特 性所應做到的項目?(A)文件以 Wo rd 等文書編輯軟體建立(B)需求在文件中沒有重複(C)文件有良好組織、目錄、索引(D)需求個別表達,沒有混在一起。
55. 有關觸電的處理方式,下列敘述何者錯誤?(A)把電源開關關閉(B)使用絕緣的裝備來移除電源(C)立 即將觸電者拉離現場(D)通知救護人員。
56. 編譯程式(Compiler)將高階語言翻譯至可執行的過程中,下列何者是連結程式(Linke r)負責連結的 標的?(A)副程式與可執行程式(B)原始程式與目的程式(C)原始程式與可執行程式(D)目的程式與所需 之副程式。
57. 下圖為街道圖,其中方框內數字表城市編號,線段表兩城市間街道之長度有一有線電視網路公司欲舖設地下纜線,將訊號傳送到六個城市為得到最低道路挖掘成本,下列敘述何者是正確?
(A)0-4 路段是要挖掘(B)3-4 路段是要挖掘(C)2- 3 路段是要挖掘(D)2-5 路段是要挖掘。
58. 陳先生到機車行換機油時,發現機車行老闆將廢機油直接倒入路旁的排水溝,請問這樣的行為是 違反了(A)道路交通管理處罰條例(B)職業安全衛生法(C)飲用水管理條例(D)廢棄物清理法。
59. Java 語言的介面(Interface)屬於何種物件導向機制?(A)Polymo rphism(B)Encapsula tion(C)Specializat ion(D)Abstraction。
60. 下列何者為制定網際網路(Interne t)相關標準的機構?(A)AN SI(B)IEEE(C)ISO (D)IETF。
61. 在 Java 程式語言中,下列那些建立陣列的指令是錯誤的?(A)float farr = new float[20];(B)int[] iarr = new int[20];(C)char carr =」Hello World」(D)Object oarr = new float[20];。
62. 對於同一 C 或 C++之程式而言,開發為 64 位元之程式與 32 位元之程式的比較,那些為錯誤?(A)32 位元之程式中使用字串指標(Po inter)儲存字串資料比使用字元陣列儲存相同字串資料所佔用之 記憶體小(B)字串資料部分,64 位元程式佔用比較大之記憶體(C)程式指標佔用之記憶體由程式決 定,與程式適用之位元數無關(D)64 位元之程式其指標佔用之記憶體較大。
63. 下列 Java 語言程式片段,那些函式宣告正確?(A)void func() {}(B)char [] sum(int x, int y) { return "a" }(C)int set(int x, int y) { return 0; }(D)String error(int x) { return "a"; }。
64. 關於 AVL 樹,下列那些正確?(A)任何兩個樹葉節點所在階層的差值至多為 1(B)同一階層的任兩個 子樹的高度差至多為 1(C)新插入一個節點,至多需要兩次旋轉(D)同一個節點的左右兩個子樹的高 度差至多為 1。
65. 下列敘述那些是正確的?(A)容錯系統(Fault-to lerant)是 SIMD 架構(B)向量式電腦是 MIMD 架構(C) 單指令流單資料流(SISD)是不具平行處理效能之系統(D)向量式電腦(Vec tor Computer)是單指令流 多資料流(SIMD)架構。
66. 下列那些是 PHP 錯誤訊息類型?(A)Notice(B)Exception(C)Fa tal error(D)Strict。
67. 在 ANSI/SPARC 三層架構中,以下的敘述那些為正確?(A)主要目的為達成資料獨立的特性(B)主要 目的為達成物件導向的特性(C)修改概念層(Conceptual Layer)並不會影響外部層(Externa l Layer)(D) 修改內部層(Internal Layer)並不會影響概念層(Conceptual Layer)。
68. 有關於 UML 類別圖(Cla ss Diagram),下列那些敘述是正確的? (A)類別間的聚合關係(Aggregation) 比組合關係(Composition)更強(B)一般化關係(Genera liza tion)是父類別(Super Class)與子類別(Sub Class)之間的關係(C)實作關係(Realization)是具體類別(Concre te Class)和抽像類別(Abstrac t Class) 之間的關係(D)兩類別的連結關係(A ssocia tion),代表兩類別的物件會有訊息傳遞(Me ssage Passin g)。
69. 以相鄰矩陣(Adjacency Matrix)儲存一個有向(Directed)權重圖(We ighted Graph),下列敘述那些是正確的?(符號∞代表距離無限大)
(A)點節 2 至節點 4 的最短路徑之長度為 4(B)節點 5 至節點 2 的最短路徑之長度為 2(C)節點 1 至節點 3 的最短路徑之長度為 9(D)節點 3 至節點 5 的最短路徑之 長度為 10。
70. SQL 語法的指令順序不能隨意更動,而且某些指令必須一起搭配來查詢,以下那些指令組合或順 序為錯誤的?(A)SELECT-FRO M-WHERE -GROUP BY-ORDER BY(B)SELECT-FRO M-G ROUP BYHAVING(C)SELECT-FRO M-WH ERE-HAV ING (D)SELECT-FRO M-WH ERE-HAV ING-GROU P BY。
71. 依序讀入 1,2,3,4,5,6,並建造一棵 AVL 樹,下列那些正確?(A)3 為 2 的父節點(B)1 與 3 在同一階 層(C)3 與 6 在同一階層(D)5 為 6 的父節點。
72. 有關於資料庫的並行控制,下列那些敘述是正確的?(A)某個優先權較低的交易可能會無止盡的一 直等待執行,此時發生了飢餓(Starva tion)現象(B)二元鎖定的 lock 與 unlock 指令可以交錯執行, 因此可以同時有兩個在等待佇列中的交易(Transac tion )一起存取 lock 的同一個資料項(C)二元鎖定 (Binary Lock)只能有兩種狀態 lock 與 unlock,多重模式鎖定(Multi-Mode Lock)則可以有 read_loc k、write_lock、unlock 等多種指令(D)當兩個交易互相等待被對方 lock 的資料項時,此時發生了死 結(Deadlock)現象。
73. 軟體系統發展之物件導向技術中,下列那些為建立繼承關係時所採用的方式?(A)從內到外擴展化 (Expansion)(B)自下而向上一般化(Genera liza tion)(C)從複雜到簡單化(Simp lifica tion)(D)自上而下特 殊化(Specialization)。
74. 有關於 Java 程式語言,下列那些敘述是錯誤的?(A)子類別(Subclass )的建構子(Construc tor)在執行 之前會先呼叫執行父類別(Super Class)的建構子(B)同一個類別(Class)可以實作(Imp lement)多個不 同的介面(Interface)(C)同一個介面可以繼承多個不同的介面(D)同一個類別可以繼承多個不同的類 別。
75. 下列有關抽象化資料型態(Abstrac t Data Type)之介面,哪些是不正確的?(A)Ada 之抽象化資料型 態介面是 package(B)C++之抽象化資料型態介面是 virtual(C)Java 之抽象化資料型態介面是 cla ss(D) LISP 之抽象化資料型態介面是 list。
76. 下列那些項目不屬於特種個資?(A)犯罪前科(B)社會活動(C)健檢資料(D)財務情況。
77. 程式語言在實作多維陣列(Multid imensional Array)與儲存記憶體間之對應時,可以使用不同方 式,若有一個 3×3 的二維陣列 A[1..3,1..3 ],其在記憶體中之值排列順序為:3,1,9,6,4,2,5,7,8,下 列那些敘述為正確?(A)對於一個一維陣列,採用 Row Major 或 Column Major 方式儲存資料,結 果並不相同(B)Row Major 方式不可用於三維以上陣列(C)當採用 Row Major 順序時,A[3,1]=5(D)當 採用 Column Major 順序時,A[2,1]=1。
78. 有關 MAN、WAN、LAN 的敘述,一般而言下列那些正確?(A)WA N 速度最慢(B)LA N 速度最快(C) LAN 涵蓋範圍最小(D)MAN 涵蓋範圍最大。
79. 關於分支度(Order)為 m 的 B-tree,下列那些正確?(A)樹根儲存的資料數量為 1 至 m-1(B)搜尋資料時,最壞情形下,所檢查過的節點數量,正好是樹的高度(C)樹根以外的樹節點儲存的資料數量為1 至 m-1(D)新增一筆新資料時,若無節點分割的情形,新增的資料一定存入葉節點。
80. 有關於資料庫中候選鍵(Candidate Key)的敘述,下列那些是正確的?(A)一個候選鍵有可能為兩個屬 性的集合(B)一個表格有可能有兩個候選鍵(C)任一個候選鍵都是表格中滿足唯一性的最小屬性子集 (D)表格中任兩筆資料(Tuple)的候選鍵值可能相同,但主要鍵(Prima ry Key)值必定不相同。