所屬科目:技檢◆電腦軟體設計-Java-乙級
1. Java 語言中,下列何者不可命名為變數? (A)_123 (B)int (C)Void (D)print。
2. 下列 CPU 排班程式(Scheduler),哪一項於時間配額用完時會進入預備佇列(Ready Queues)中? (A) 剩餘最短的工作先服務(Shortest-Remaining-Time-First) (B)最短工作先服務(Shortest-Job-First) (C) 最高反應率的工作先服務(Highest-Response-Ratio-Next) (D)多層回饋佇列(Multi-level-FeedbackQueue)。
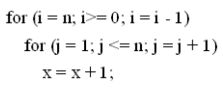
3. 下圖為符號 A、B、C、D 之 Huffman Tree,若壓縮碼為 00000111010,經還原成明碼後,所產生之明碼符號個數共有幾個?
(A)6 (B)4 (C)7 (D)5。
4. 關聯式資料表(Relational Table)R(A,B,C) ,A、B、C 三屬性均是單值(Single-Valued),若 {A,B}可決定 C,C 可決定 B,則 R 最多已做到哪一種 Normal Form(NF)? (A)BCNF (B)3NF (C)2NF (D)1NF。
5. 下列仿 C++程式片段之計算時間,何者正確?
(A)θ(n 2 ) (B)θ(n log n) (C)θ(log n) (D)θ(n )。
6. 下列何種服務可將 Domain Name 對應為 IP 位址? (A)WINS (B)DHCP (C)Proxy (D)DNS。
7. 受雇者因承辦業務而知悉營業秘密,在離職後對於該營業秘密的處理方式,下列敘述何者正確? (A)離職後仍不得洩漏該營業秘密 (B)僅能自用而不得販售獲取利益 (C)聘雇關係解除後便不再負有 保障營業秘密之責 (D)自離職日起 3 年後便不再負有保障營業秘密之責。
8. 對於下列 C/C++程式,何者敘述正確?
(A)若 a 及 b 均為 2x2 矩陣,最外層 for 迴圈執行 4 次 (B)將 a 及 b 兩矩陣相加後,儲存至 c 矩陣 (C)若 a[2][2]={{1, 2}, {3, 4}}及 b[2][2]= {{1,0},{2,-3}},執 行結束後 c[2][2]= {{5,6}, {11,12}} (D)若 a 及 b 均為 2x2 矩陣,最內層 for 迴圈執行 8 次。
9. 下列哪種系統轉換方式的優點是可以比較新舊系統的輸出統計,以確認新系統的結果是否正確, 並且是非常穩健的方法? (A)實驗轉換 (Pilot Conversion) (B)平行轉換 (Parallel Conversion) (C)階 段性轉換(Phased Conversion) (D)直接轉換 (Direct Conversion)。
10. 外食自備餐具是落實綠色消費的哪一項表現? (A)環保選購 (B)降低成本 (C)回收再生 (D)重複使用。
11. 有關記憶體的敘述,下列何者「不正確」? (A)CPU 中的暫存器執行速度比主記憶體快 (B)快取磁 碟(Disk Cache)是利用記憶體中的快取記憶體(Cache Memory)來存放資料 (C)個人電腦上大都有 Level 1(L1)及 Level 2(L2)快取記憶體(Cache Memory),其中 L1 快取的速度較快,但容量較小 (D) 在系統軟體中,透過軟體與輔助儲存體來擴展主記憶體容量,使數個大型程式得以同時放在主記 憶體內執行的技術是虛擬記憶體(Virtual Memory)。
12. 有關 Java 處理 I/O 的敘述,下述何者正確? (A)能做輸出資料到一個檔案或從另一個檔案輸入資 料 (B)不需用到 import java.io.*指令 (C)檔案無法開啟時會產生 FileNotCreatedException 錯誤 (D)開 啟二元檔以寫入資料可以使用 PrintWriter 和 FileOutputStream 建構子。
13. 塑膠為海洋生態的殺手,所以政府推動「無塑海洋」政策,下列何項不是減少塑膠危害海洋生態 的重要措施? (A)定期進行海水水質監測 (B)禁止製造、進口及販售含塑膠柔珠的清潔用品 (C)擴大 禁止免費供應塑膠袋 (D)淨灘、淨海。
14. 下列何者是消除職業病發生率之源頭管理對策? (A)健康檢查 (B)使用個人防護具 (C)改善作業環境 (D)多運動。
15. 在 Java 語言中,下列何者為有效的 float 宣告? (A)float x=10.2D; (B)float x=3.5X; (C)float x=25L; (D)float x=-128;。
16. C/C++ 語言中限定一個主體區塊,使用下列何種符號? (A)/* */ (B)" " (C)( ) (D){ }。
17. 為了取得良好的水資源,通常在河川的哪一段興建水庫? (A)中游 (B)下游出口 (C)下游 (D)上游。
18. 下列仿 C 程式片段,若 n=5,程式執行後回傳(Return)值為何? (A)5 (B)8 (C)2 (D)3。
19. 有關電腦儲存資料所需記憶體的大小排序,下列何者正確? (A)1TB>1KB>1MB>1GB (B)1GB>1MB>1TB>1KB (C)1KB>1GB>1MB>1TB (D)1TB>1GB>1MB>1KB。
20. 目的程式 (Object Program)經由下列哪一種處理而產生可執行程式? (A)Interpreter (直譯程式) (B)Assembler (組合程式) (C)Loader (載入程式) (D)Linker (連結程式)。
21. 關聯式資料表(Relational Table)R(A,B,C) ,A、B 二屬性均是單值(Single-Valued),C 屬性值 則為多值(Multi-Valued),則 R 最多已做到哪一種 Normal Form(NF)? (A)滿足第一正規化 (B)不滿 足任何正規化 (C)滿足第三正規化 (D)滿足第二正規化。
22. 假設有一分支度(Order)為 17 之 B-tree,下列敘述何者是正確? (A)若此 B-tree 之高度為 3(共 3 層),則鍵值總數最少的情形為 108 個 (B)樹根節點至少有 8 個鍵值(Key) (C)樹根節點至少有 9 個 子節點 (D)若此 B-tree 之高度為 4(共 4 層),則第 4 層之鍵值總數最少的情形為 1296 個。
23. 依經濟部能源署「指定能源用戶應遵行之節約能源規定」,在正常使用條件下,公眾出入之場所 其室內冷氣溫度平均值不得低於攝氏幾度? (A)25 (B)24 (C)26 (D)22。
24. 下列哪一項關於陣列(Array)與鏈結串列(Linked List)的敘述正確? (A)陣列的大小通常不易決定, 而利用鏈結串列儲存資料可以事先決定所需的儲存空間大小 (B)陣列的存取方式為循序存取 (Sequential Access) (C)從陣列刪除中第一個元素與從鏈結串列刪除第一個元素,其時間複雜度相 同 (D)陣列中資料的插入及刪除可能會造成大量資料移動。
25. 下列仿 C 的程式片段,執行結果輸出為何者?
(A)yx (B)xyzy (C)yzy (D)xyzx。
26. 資料共有 4096 筆,若採用二元搜尋法(Binary Search),最差情況下需搜尋幾次才能找到一筆已知 的資料? (A)13 (B)14 (C)11 (D)12。
27. 在 UML 類別圖(Class Diagram)中,類別沒有自己直接的實例(Instances),稱為下列何者? (A)間 接類別(Indirect Class) (B)抽象類別(Abstract Class) (C)不完全類別(Incomplete Class) (D)空白類別 (Empty Class)。
28. 下圖分支度(Order)為 3 之 B-tree,下列敘述何者是正確的?
(A)插入鍵值(Key)60 於原始 B-tree, 則鍵值 56 是放在根(Root)節點內 (B)插入鍵值(Key)10 於原始 B-tree,則此 B-tree 之節點共有 1 次 分裂(Split) (C)插入鍵值(Key)50 於原始 B-tree,則此 B-tree 之高度會增加 (D)插入鍵值(Key)55 於 原始 B-tree,則此 B-tree 之節點共有 1 次分裂(Split)。
29. 對於功能相依性(Functional Dependency)的描述,下列何者有誤? (A)多個功能相依性的表示法可 以合併成一個功能相依圖(Functional Dependency Diagram) (B)功能相依性是可用推演規則 (Inference Rules)來推導 (C)功能相依性可定義於多個關聯表(Relational Table)上 (D)若 A 是關聯表 R 的一個候選鍵(Candidate Key),則每個 R 中的屬性都會功能相依於 A。
30. 非公務機關利用個人資料進行行銷時,下列敘述何者錯誤? (A)當事人表示拒絕接受行銷時,應停 止利用其個人資料 (B)倘非公務機關違反「應即停止利用其個人資料行銷」之義務,未於限期內改 正者,按次處新臺幣 2 萬元以上 20 萬元以下罰鍰 (C)於首次行銷時,應提供當事人表示拒絕行銷 之方式 (D)若已取得當事人書面同意,當事人即不得拒絕利用其個人資料行銷。
31. 下列哪一項不屬於執行副程式時活動紀錄(Activation Record)中之組成元素? (A)返回點(Return Point) (B)區域資料(Local Data) (C)實際參數(Actual Parameter) (D)全域變數(Global Variable)。
32. 有關資訊系統安全措施,下列敘述何者「不正確」? (A)加密保護機密資料 (B)系統管理者統一保 管使用者密碼 (C)使用者不定期更改密碼 (D)網路公用檔案設定成「唯讀」。
33. 利用 Knuth-Morris-Pratt 演算法在長度為 m 的字串中搜尋長度為 n 的字串,所需的時間複雜度 (Time Complexity)為何? (A)θ(m+n) (B)θ(m) (C)θ(mn) (D)θ(n)。
34. 若在 Java 程式的 method 中有一個指令:super.abc();,下述何者正確? (A)呼叫父類別 abc() method (B)語法錯誤 (C)呼叫同一個類別的 super.abc() method (D)呼叫 abc 類別的建構子。
35. 若 Java 語言的方法有回傳值,在方法主體內要使用以下那一個保留字? (A)void (B)throws (C)return (D)invoke。
36. UML 組合(Composition)關係與組成部分有其生命延展關係,下列敘述哪一個正確? (A)可分離, 子類別可單獨存在 (B)不可分離,子類別不可單獨存在 (C)可分離,子類別不可單獨存在 (D)不可分 離,子類別可單獨存在。
37. 基於節能減碳的目標,下列何種光源發光效率最低,不鼓勵使用? (A)省電燈泡 (B)LED 燈泡 (C)白 熾燈泡 (D)螢光燈管。
38. 用電熱爐煮火鍋,採用中溫 50%加熱,比用高溫 100%加熱,將同一鍋水煮開,下列何者是對 的? (A)中溫 50%加熱比較省電 (B)高溫 100%加熱比較省電 (C)中溫 50%加熱,電流反而比較大 (D) 兩種方式用電量是一樣的。
39. Java 語言何時會自動定義建構子(Constructor)? (A)程式使用沒有參數的建構子時 (B)程式的任何類 別 (C)程式沒有定義預設建構子時 (D)程式沒有定義任何建構子時。
40. 從事專業性工作,在服務顧客時應有的態度為何? (A)選擇工時較長、獲利較多的方法服務客戶 (B)為了降低成本,可以降低安全標準 (C)選擇最安全、經濟及有效的方法完成工作 (D)不必顧及雇 主和顧客的立場。
41. 有關 C++語言控制方面的敘述,下列何者有誤? (A)邏輯運算元 && 可在計算第一個運算子為 false 時, 就可跳過另一運算子, 就確定整個運算式為 false (B)switch 敘述中的每一個 case 都必須以 break 敘述結束 (C)在重複結構中執行到 break 敘述 ,程式流程立刻跳出此結構 (D)在重複結構中 執行到 continue 敘述, 程式流程立刻跳離剩下的部分, 開始下一次迴圈。
42. 一 Java 程式片段如下,執行後 x 值為何?
(A)6 (B)8 (C)7 (D)5。
43. 下列何者不是區域網路(LAN)常見的技術? (A)Ethernet (B)ATM (C)Token Ring (D)FDDI。
44. 物聯網(IoT)通訊物件通常具備移動性,為支援這樣的通訊特性,需求的網路技術主要為下列何 者? (A)網格運算 (B)物件動態連結 (C)分散式運算 (D)跨網域運算能力。
45. 有關 TCP/IP 通訊協定的敘述,下列哪一項是錯誤的? (A)TCP/IP 是網際網路的通訊協定 (B)TCP 通訊協定相對於 OSI 通訊協定中的第四層 (C)IP 是 Internet Protocol 的簡稱 (D)TCP 是非連接 (Connectionless)導向的協定。
46. 下列有關 UML 聚合(Aggregation) 、 組合(Composition)、 關聯(Association)等三種關係的強烈程 度,何者為真? (A)聚合> 關聯> 組合 (B)關聯> 聚合> 組合 (C)聚合 > 組合> 關聯 (D)組合> 聚合> 關聯。
47. 有關 UML 的敘述何者正確? (A)是適用於特殊領域 (B)是一種第三代程式語言 (C)到目前只有 UML1 (D)是一種塑模語言。
48. 下列何種生活小習慣的改變可減少細懸浮微粒(PM2 . 5)排放,共同為改善空氣品質盡一份心力? (A)使用吸塵器 (B)少吃燒烤食物 (C)養成運動習慣 (D)每天喝 500cc 的水。
49. 石綿最可能引起下列何種疾病? (A)間皮細胞瘤 (B)白指症 (C)巴金森氏症 (D)心臟病。
50. 以下為一 C 語言撰寫之遞迴函式(Recursive Function) ,假設 N≧0,而此函式是用來計算 0 至 N 之間的所有整數之和,則空格中應填入以下何者?
(A)return(N-1)+Sum(N) (B)return(N-1)+ Sum(N-1) (C)return N+Sum(N-1) (D)while(N<>0)return N+Sum(N+1)。
51. 有關著作權的敘述,下列何者錯誤? (A)網路上供人下載的免費軟體,都不受著作權法保護,所以 我可以燒成大補帖光碟,再去賣給別人 (B)高普考試題,不受著作權法保護 (C)到攝影展上,拿相 機拍攝展示的作品,分贈給朋友,是侵害著作權的行為 (D)我們到表演場所觀看表演時,不可隨便 錄音或錄影。
52. 下列哪一項不是資料鏈結層(Data Link Layer)主要功能? (A)錯誤更正 (B)鏈路建立與解除 (C)流量 控制 (D)終點對終點資料傳輸。
53. 依勞工職業災害保險及保護法規定,勞工職業災害保險以下列何者為保險人,辦理保險業務? (A) 勞動部勞工保險局 (B)財團法人職業災害預防及重建中心 (C)勞動部職業安全衛生署 (D)勞動部勞動 基金運用局。
54. 字母"B"的 ASCII 碼以二進位表示為"01000010",若電腦傳輸內容為"101000010",以便檢查該字 母的正確性,則下列敘述何者正確? (A)使用二進位數檢查 (B)不做任何正確性的檢查 (C)使用偶數 同位元檢查 (D)使用奇數同位元檢查。
55. 編譯程式(Compiler)將高階語言翻譯至可執行的過程中,下列何者是連結程式(Linker)負責連結的 標的? (A)副程式與可執行程式 (B)原始程式與目的程式 (C)原始程式與可執行程式 (D)目的程式與所 需之副程式。
56. 工廠或交通工具排放空氣污染物之檢查,下列何者錯誤? (A)檢查人員以肉眼進行粒狀污染物不透 光率之判定 (B)檢查人員以嗅覺進行異味濃度之判定 (C)依中央主管機關規定之方法使用儀器進行 檢查 (D)檢查人員以嗅覺進行氨氣濃度之判定。
57. 有一整數序列 26, 59, 77, 31, 51, 11, 19, 42 以 Merge Sort 由小而大排序,第一階段(Pass)的合併 結果,下列何者是正確的? (A)31, 51, 11, 42, 26, 77, 59, 19 (B)26, 11, 19, 31, 51, 59, 77,42 (C)11,19, 26, 31, 42, 59, 51, 77 (D)26, 59, 31, 77, 11, 51, 19, 42。
58. 有關 Java File 物件所提供的 method 操作,下列何者敘述錯誤? (A)測試檔案是否存在 (B)開檔及 編修內容 (C)測試檔案是否可寫入 (D)測試檔案是否可讀。
59. 有關一般建議的 Java 程式寫作風格,下述何者錯誤? (A)程式設計師寫作風格不標準,程式將無 法編譯執行 (B)一個變數宣告使用一行比較好 (C)程式寫作儘量做結構化縮排,以方便閱讀 (D)註解 符號可以使用//...和/*...*/。
60. 依職業安全衛生設施規則規定,下列何者非屬使用合梯,應符合之規定? (A)有安全之防滑梯面 (B)合梯材質不得有顯著之損傷、腐蝕等 (C)合梯應具有堅固之構造 (D)梯腳與地面之角度應在 80 度 以上。
61. C++中有關指定運算的型態轉換(Type Conversion on Assignment),下列描述哪些是正確的? (A) 若左值的型態為長整數型態,右值的型態為短整數型態,程式會將短整數轉換成長整數後再指定 給左值 (B)若左值的型態為短整數型態,右值的型態為長整數型態,可能會發生截位(Truncation) 的狀況 (C)若左值的型態為浮點數型態,右值的型態為整數型態,數字會失真 (D)若左值的型態為 整數型態,右值的型態為浮點數型態,右值的小數部分會四捨五入後指定給左值。
62. 假設某一語言是由以下的文法規則產生,有關此一文法之敘述,哪些是正確的?
(A)字串 bbbaabb 可由此文法規則產生 (B)字串 bbbabb 可由此文法規則產生 (C)字串 aaaba 可由此文法規則產生 (D)字 串 aaabbbb 可由此文法規則產生。
63. 針對下列 Java 語言程式,那些敘述錯誤?
(A)第三行 "private void x() {" 無法編譯 (B)第十四行 "void x() {" 無法編譯 (C)此程式會丟出一個 Exception (D)第十行 "b.x();" 無法編譯。
64. 有關於統一塑模語言(UML),下列哪些敘述是正確的? (A)部署圖(Deployment Diagram)描述軟體元 件如何部署在各個處理器上 (B)使用個案圖(Use Case Diagram)描述類別的定義與類別之間的關係 (C)循序圖(Sequence Diagram)描述物件之間的互動行為,強調以時間發生之先後順序來表達物件 間的訊息傳遞與處理程式 (D)狀態圖(State Diagram)描述一個物件或系統在其生命週期中的所有可 能狀態及其狀態轉換關係。
65. 關於 CPU 行程排班演算法,下列哪些正確? (A)先來先服務(FCFS)排班法適用於分時系統 (B)最短 優先法(SJF)有可能造成飢餓現象 (C)輪流法(Round Robin)的時間片段(Time Slice)若非常大,其效 果會類似於先來先服務(FCFS)排班法 (D)優先權(Priority)排班法有可能造成飢餓現象。
66. Internet 服務所預設的通訊埠,下列哪些正確? (A)HTTP:80 (B)SSH:23 (C)TELNET: 22 (D)FTP:21。
67. 下列哪些屬於線性串列? (A)堆疊 (B)圖形 (C)佇列 (D)樹。
68. 下列哪些 Java 語言指令敘述,其修飾子的使用是不合法的? (A)friend class Base { /** **/} (B)public transient void bMethod() { /** **/} (C)abstract double d; (D)class MyClass extends WindowAdapter implements WindowListener { /** **/}。
69. 下列那些是 PHP 字串表示方式? (A)(B)(C)(D) 。
70. 下列 Java 語言程式片段,那些是合法的指令? (A)Long m = new Long(128); double d = m.doubleValue(); (B)Boolean b = new Boolean("hello") (C)Byte b = new B yte(10); b = Byte(23); (D)Int i = new Int(28);。
71. 有關雜湊(Hashing)技術,下列哪些正確? (A)如果存在有欲搜尋的資料,則搜尋時產生的碰撞次 數與該資料當初新插入時的碰撞次數相同 (B)插入新資料時,最多只會產生一次碰撞 (C)欲刪除資 料時,找到該筆資料所在位置,然後將其刪除即可 (D)可以插入重複資料。
72. 下列敘述哪些為個資法安全維護措施? (A)建立資料安全稽核機制 (B)建立個人資料蒐集、處理及 利用之內部管理程序 (C)成立智財管理委員會 (D)成立管理組織,配置相當資源。
73. 關於 SQL 語法的使用,以下哪些敘述是正確的? (A)LIKE 可以用來查詢比對某個字串的一部分 (B) 要比較屬性是否為 NULL 值,必須用 IS 關鍵字,不可用等號(=) (C)EXISTS 可以用來找出存在的 值組資料數目 (D)DISTINCT 可以用來移除查詢結果中的重複值組(Tuple)。
74. 下列為關於 64 位元 CPU 安裝 64 位元作業系統之電腦 A 與 32 位元 CPU 安裝 32 位元作業系統之 電腦 B 的敘述,哪些為錯誤? (A)電腦 A 處理大量資料比電腦 B 有效率 (B)電腦 A 定址空間較大 (C)執行同一功能程式在電腦 A 的行程比在電腦 B 的行程其所需記憶體空間較小 (D)電腦 A 程式之 機器碼可直接複製到電腦 B 執行。
75. 以下哪些是正確的關聯式資料庫設計概念? (A)盡量不要將主要鍵(Primary Key)和外來鍵(Foreign Key)作 JOIN 的操作,以避免產生錯誤資料 (B)盡量將多個相關的不同實體(Entity)放在同一個表格 中以提升資料查詢的效率 (C)盡量避免設計出會經常產生 NULL 值的欄位 (D)盡量避免產生重複資 料(Redundant),以避免發生更新異常(Update Anomaly)。
76. 在軟體系統開發中,下列哪些 UML 圖可用於系統的動態建模? (A)活動圖(Activity Diagram) (B)類 別圖(Class Diagram) (C)狀態圖(State Diagram) (D)循序圖(Sequence Diagram)。
77. 以相鄰矩陣(Adjacency Matrix)儲存一個有向(Directed)權重圖(Weighted Graph),下列敘述哪些是 正確的?(符號∞代表距離無限大)
(A)節點 1 至節點 3 的最短路徑之長度為 9 (B)節點 5 至節點 2 的最短路徑之長度為 2 (C)節點 3 至節點 5 的最短路徑之長度為 10 (D)點節 2 至節點 4 的最短路徑 之長度為 4。
78. 有關於資料庫管理系統(DBMS),以下的敘述那些為正確? (A)DML(Data Manipulation Language)可 用來更新及查詢資料庫中的資料 (B)DML 一定要嵌入(Embed)到某一個主語言(Host Language)中 (如 PHP, Java 等),才能執行 (C)DDL(Data Definition Language)可用來定義資料庫綱要(Database Schema) (D)DCL(Data Control Language)可用來新增、刪除、或修改資料庫中的資料。
79. 使用 SQL 查詢,若要以部門為計算單位,計算出每個「部門的員工薪資總額大於 500,000」的部 門名稱時,必須用到下列哪些關鍵字? (A)GROUP BY (B)COUNT (C)HAVING (D)SUM。
80. 關於圖(Graph)的尤拉迴路(Euler Cycle),下列那些正確? (A)若一個圖的每個節點之度數(Degree) 都是偶數,則它必定擁有尤拉迴路 (B)除了起始節點以外,必須經過每一節點正好一次 (C)必須經 過每一個邊正好一次 (D)若一個圖擁有尤拉迴路,則每個節點的度數(Degree)都是偶數。