所屬科目:技師◆材料力學
2 圖示之平面三角形桁架,BC 桿長度為 L,B 點承受一水平外力 P=10 N。桿件之軸向柔度 (單位為 m/N),請計算 C 點之水平位移量(單位為 m)。 (A) 5f(向左移動) (B) 5f(向右移動) (C)(向左移動) (D) (向右移動)
3 承上題,若 BC 桿由斜桿改為垂直桿,則本題桁架 C 點之水平位移量,為前題桁架 C 點水平 位移量之幾倍?
(A)0 (B)1 (C) (D)2
4 一桁架系統如圖所示,於 C 點施加一力 6 kN,下列敘述何者正確?
(A)BD 桿受壓 3.5 kN (B) DF 桿受壓 4.5 kN (C) CE 桿受拉 4.0 kN (D) DE 桿受壓 2.5 kN
5 如圖所示,兩鋼板以兩根鉚釘連接,鋼板厚度與鉚釘直徑皆為 20 mm,在拉力 30 kN 的作用 下,下列敘述何者正確?
(A)對鉚釘造成的剪應力為 47.5 MPa (B)對鉚釘造成的剪應力為 95 MPa (C)對鋼板造成的承壓應力(bearing stress)為 32.5 MPa (D)對鋼板造成的承壓應力為 65 MPa
6 一彈性支承墊如圖所示,支承墊尺寸 a=300 mm,b=400 mm,t=50 mm。若此支承墊承受剪 力 V=50 kN 時,支承墊上下會產生 10 mm 的相對水平位移,則此支承墊材料的剪力模數 G 最接近下列何者? (A) 1.5 MPa (B) 2.0 MPa (C) 2.5 MPa (D) 3.0 MPa
7 一埋置於土壤內的金屬管,其材料的彈性模數為 E,管的長度為 L,斷面積為 A。欲將此管拉 拔出土壤,需要於管頂施加拉力 P。假設土壤與管的摩擦力由 B 點的 0,線性遞增至 C 點的,則在金屬管與土壤不發生滑動(slip)的前提下,金屬管最大的變形量為何?
(A) (B) (C) (D)
8 有一剛性桿件 AC,兩端分別被 AB 桿件與 CD 桿件所支撐,AB 桿件與 CD 桿件的斷面積分 別為 10 mm2 與 15 mm2,一力 P 施加於距 A 點 d 處。為使 AB 桿件與 CD 桿件的平均應力相 同,則 d 的值為何?
(A) 1.2 m (B) 1.5 m (C) 1.8 m (D) 2.1 m
9 有一均質等斷面之鋼棒,長度為 1 m,其鋼材的單軸拉伸應力-應變曲線如圖所示,若此鋼棒受拉力伸長 3 mm 後將力量釋放,鋼棒的永久變形量為何?
(A) 1.5 mm (B) 1.75 mm (C) 2.0 mm (D) 2.25 mm
11 如圖所示,有一由 AB 鋁桿件與 BC 鋼桿件所構成的組合桿件,在 A 與 B 兩點分別施加軸向 力。鋼與鋁的彈性模數分別為 200 GPa 與 70 GPa,兩段桿件之直徑皆為 20 mm,則 A 點的位 移量為何? (A) 2.55 mm(→) (B) 2.88 mm(→) (C) 3.22 mm(→) (D) 3.44 mm(→)
12 有一組合桿件如圖所示,其中 AB 桿件與 CD 桿件之彈性模數為 E1,斷面積為 A1,長度為 L1; EF 桿件之彈性模數為 E2,斷面積為 A2,長度為 L2;三支桿件以一剛性體連接且無偏心。若 在 F 點施加一軸拉力 P,則此組合桿件 F 點相對於固定端向右變形多少?
13 一圓形變斷面桿件如圖所示,A 點斷面直徑為 dA,B 點斷面直徑為 dB,桿件長度為 L,在 A 點施加一軸壓力 P,桿件材料的彈性模數為 E,則此桿件縮短量為何?
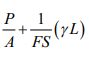
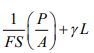
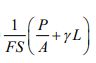
14 一根鋼索長度為 L,斷面積為 A,單位重為γ。其上端固定於牆面,下端懸掛一物體重量為 P。 若考慮鋼索自重及懸掛物重量,且軸向應力之安全因數為 FS,請問鋼索之最大容許軸向應力 σa? (A) P + γ AL (B) (C) (D)
15 一簡支梁如圖所示,此梁桿件的最大彎矩為何?
(A) 50 kN-m (B) 60 kN-m (C) 70 kN-m (D) 80 kN-m
16 一簡支梁承受外力如圖所示,其斷面寬為 b,深為 d,跨度為 L,此梁最大的斷面正向應力 (normal stress)為何?
17 一簡支短梁受力如圖所示,若梁的容許正向應力為 250 MPa,容許剪應力為 50 MPa,則此梁 斷面最小直徑為多少?
(A) 50 mm (B) 100 mm (C) 150 mm (D) 200 mm
18 一單跨簡支木梁,單位重γ =5 kN/m3,斷面寬度 140 mm、深度 240 mm、跨距 1.2 m。梁中央 跨徑處施加一集中力 P,若容許撓曲應力 =10 MPa,則最大集中力為多少?
(A) 22.2 kN (B) 35.6 kN (C) 38.0 kN (D) 44.7 kN
19 承上題,若容許剪應力=0.5 MPa,當同時考慮,請問最大集中力 為多少? (A) 22.2 kN (B) 35.6 kN (C) 38.0 kN (D) 44.7 kN
20 圖示之彈性均質梁桿件,長度為 L,斷面撓曲剛度為 EI。梁左端 A 端為固定端且為座標原點 (x=0),右端 B 端為滾支承(x=L)。若梁全長承受均佈載重 q,除右端滾支承處外,梁跨度 內出現反曲點之位置,相距左側固定端之長度為多少 L?
(A) 0.25 L (B) 0.52 L (C) 0.586 L (D) 0.865 L
21 一剛體由兩支鋼柱以及一組線彈簧支撐,如圖所示。兩支鋼柱斷面積均為 100 mm2。線彈簧 之彈力常數 k=50 MN/m,未壓縮之原長為 2.02 m。在剛體上施加均佈載重 500 kN/m 後,則 此鋼柱的軸向變形量為何? (A) 12.489 mm (B) 16.246 mm (C) 14.286 mm (D) 10.942 mm
22 一桿件兩端固定於剛性牆上,材料彈性模數為 E,熱膨脹係數為 α,桿件斷面積為 A,長度為 L。若此桿件的初始溫度為 TA 時,桿件不受到任何力量。當桿件溫度由 A 點的 TA 呈線性變化 至 B 點的 TB 時,此桿件受到的軸壓力為何?
(A) (B) α EA (TB - TA ) (C) (D) 2α EA (TB - TA )
23 一簡支梁由三片木材板以釘子接合所組成,釘子的間距為 s,在梁跨度中央施加一外力 60 kN, 若每支釘子可承受的剪力為 5 kN,請問釘子最大的間距 s 為何?
(A) 57.5 mm (B) 52.5 mm (C) 47.5 mm (D) 42.5 mm
24 一複合梁斷面如圖所示,材料 A 與材料 B 的彈性模數分別為 210 GPa 與 70 GPa。若中性軸 位置距梁底部為 y,則 y 最接近下列何者?
(A) 165 mm (B) 160 mm (C) 155 mm (D) 150 mm
25 有一槽型斷面之梁桿件如圖所示,其中 C 點為此斷面的形心位置。有一彎矩作用於 C 點,則 下列敘述何者錯誤?
(A)= 57.37 mm (B)中性軸為 z 軸以 C 點逆時針旋轉 3.74o (C) σ A = -2.27 MPa (D) σB = 0.88 MPa
26 一構架系統具有兩支懸臂梁 DC 和 AB,另一梁 CB 放置於兩懸臂梁端,如圖所示。若所有梁 桿件的慣性矩均為 I,材料彈性模數均為 E,在 CB 梁中點 G 施加一力量 P,則 G 點的垂直撓 度為何? (A) (B) (C) (D)
27 有一懸臂梁如圖所示,其長度為 L,慣性矩為 I,材料彈性模數為 E,於末端 B 點連接一彈簧 常數為 k 的彈簧。若在 B 點施加一力量 P,求 B 點的垂直撓度 δB 為多少?
28 如圖所示,有一複合桿件(composite member)由兩個具有相同斷面的桿件組成,其彈性模數 分別為 E1 與 E2,複合桿件斷面積為 2b×2b,其兩端板假設為剛性。若於兩端板處施加軸壓力 P,且與複合桿件中線具一偏心距 e。若兩桿件僅承受軸壓力,則此偏心距 e 值為多少? (A) (B) (C) (D)
29 如下圖所示,具有兩個不同實心斷面的鋼棒 ABC,其 C 端固接而 A 端連接於一彈簧,彈簧常 數 50 MN/m。鋼棒直徑分別為 100 mm 以及 120 mm,長度分別為 300 mm 以及 500 mm。鋼 的彈性模數與熱膨脹係數分別為 200 GPa 以及。若鋼棒 ABC 的溫度均勻增加了 30°C,則 B 點的位移為何?
(A)右移 0.122 mm (B)左移 0.177 mm (C)右移 0.155 mm (D)左移 0.133 mm
30 圖示之均質矩形梁長度為 L,兩端皆為固定端。若梁斷面寬度為 b、深度 h,斷面撓曲剛度為 EI。材料為完全彈性材料,降伏應力為σy。試求梁產生彎矩降伏時之均佈載重 qy 為多少倍的 ? (A)1 (B)2 (C)3 (D)4
31 試求梁產生彎矩降伏時,跨徑中央處之垂直撓度δ y 為多少倍的 ?(A) (B) (C) (D)
32 當產生破壞機構、結構崩潰失穩時,定義 為均佈載重之極限值,則之比值? (A)2 (B)4 (C)6 (D)8
34 當載重 q 恰達 後即完全卸載,並定義殘餘垂直撓度為之比值? (A)0 (B)1 (C)2 (D)4
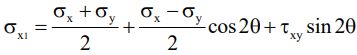
35 平面 應 力 元 素其 正值 方 向定 義如 下圖。一平 面應力元素 之 σx =125 MPa,σy =-75 MPa, =-50 MPa,下列何者為錯誤的選項?
(A)主軸為順時針旋轉 13.28° (B)最小主應力為-86.8 MPa (C)最大主應力為 136.8 MPa (D)最大剪應力為 99.8 MPa
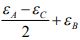
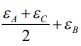
36 利用三個電阻式應變規黏貼在物體的自由表面上,分布如圖所示。若應變規 A, B, C 量測到的 應變分別為ε A 、εB 以及 ε C ,則平面剪應變 為何?
(A) (B) 2εB - ε A - εC (C) (D) 2ε B + ε A +εC
38 圖示兩根柱,柱 1 之撓曲剛度為 EI、長度為 L1;柱 2 之撓曲剛度為 2/3EI、長度為 L2。請計 算 L2 /L1 比值,使柱 1 和柱 2 具有極為相近的臨界挫屈載重。 (A) 0.571 (B) 0.699 (C) 0.807 (D)1
39 一圓柱如圖所示,其直徑 d=80 mm,材料彈性模數 E=70 GPa。柱頂施加一軸壓力 P,則 x-y 平面上產生之臨界挫屈載重 最接近下列何者? (A) 310 kN (B) 620 kN (C) 440 kN (D) 105 kN
40 圖示為剛性桿 ABC,此剛性桿於 B 點連接線彈簧,其勁度為β;又分別於 B 點及 A 點連接旋 轉彈簧,旋轉彈簧之勁度為βR = βL2,求剛性桿 ABC 之臨界挫屈載重。 (A) (B) (C) (D)
一、有一圓柱形土壤元素置於三軸試驗之儀器上如下圖所示,土壤之楊氏 係數 E = 50 MPa,柏松比ν = 0.4 。此元素於 xz 面受到-50 kPa 之圍 壓,如土壤之絕對最大剪應力 不能超過 80 kPa,則可施加於 y 方 向之最大軸壓應力 σ y 為何?其對應之最大剪應變 為何?其對應 之 y 方向應變 ε y 為何?(15 分)
二、有一矩形斷面懸臂梁,梁長度 L = 4 m,寬度 b = 40 cm,高度 h = 60 cm。 此梁於自由端受一集中載重 P = 2 MN 如圖所示。請計算出此梁 σx 之 最大張應力值及最大壓應力值。(20 分)
三、有一土壤元素處於平面應變之狀況,此元素於 xy 平面所受之應力如 下圖所示,試求此土壤元素於 xy 平面之最大主軸應力σ1 、最小主軸 應力 σ2 及此二主軸應力對應之角度,並將此二主軸應力繪製 於旋轉至主軸方向之應力元素上。(15 分)
提示: