所屬科目:測量平差法
二、設在測站 A 觀測如示意圖,已知∠BAC = α,設其無誤差,觀測角度 β1 和 β2 之中誤差為σ1 = σ2 = ±1.4",協變方,試求解角度 x 的中誤差。(20 分)
三、某一距離 n 次觀測之平均值為,設,稱為改正數或剩餘誤差;試證明改正數之平方和為最小。(20 分)
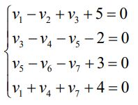
五、某一平差問題列有以下條件方程式: 設有 3 個未知參數 v1 = x1、v2 = x2、v7 = x3,試將條件聯立方程式改寫成誤差方程式及列出間接觀測平差法方程式。 (20 分)