所屬科目:測量平差法
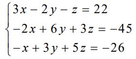
二、某聯立方程式如下,試依高斯消去法(高斯約化法)解算 3 未知參數(無解算步驟不予計分) 。(20 分)
四、相關係數表示兩個隨機變數間的線性相關程度,設隨機變數 x、y、z 的變方-協變方矩陣為
試求相關係數 ρxy、 ρxz、 ρyz 。(計算至小數後第 3 位)(20 分)
五、在某測邊網中,設待定點 P1 的坐標為未知參數,即 ,平差後得到 X̂ 的協因數矩陣為 ,且單位權變方,試計算 P1點縱、橫坐標中誤差和點位中誤差。 (20 分)