所屬科目:通信系統
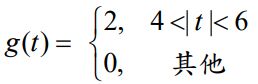
一、已知訊號,畫出訊號波形並計算其傅立葉轉換G( f ) 。(20 分)
二、有兩個濾波器,頻率響應各為 ,其中 f0 為常數。分別探討這兩個濾波器響應與頻率的關係,並據以寫出其濾波特性。(20 分)
三、某 AM 調變器的輸出為 s(t) =3[1+ kam(t )]cos(2π106 t ) ,其中輸入訊號為 m(t )= cos(1000πt )+2cos(2000πt ) 。 ka=0.3 為調變器的振幅靈敏度 (amplitude sensitivity)。寫出此系統之「調變百分率」,畫出「 s(t) 的頻譜」,並計算「 m(t) 的頻寬」以及「 s(t) 的傳輸頻寬」。(15 分)