所屬科目:機械設計
(二)若忽略扭矩對轉軸造成之應力,則依據Soderberg疲勞強度準則:(其中,σm 為平均應力、 σa 為振幅應力),施加負載F處之「最小疲勞安全因子N」為多少?(5分)
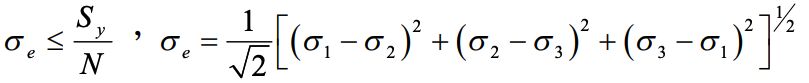
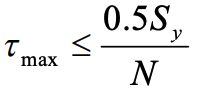
二、有一正向降伏強度 Sy = 400 MPa之零件,已知該零件某位置承受如圖二所示之應力狀態,試分別依據「最大剪應力(Maximum shear stress)」及「畸變能(Distortion energy)」失效準則分析此位置之「安全因子 N 」為何? (25分)補充公式及說明:⑴ 最大剪應力失效準則:⑵ 畸變能失效準則:其中, σ1、σ2及 σ3為三個方向的主應力(Principal stress)。
三、如圖三所示,有一立式雙螺紋方牙螺桿傳動裝置,已知螺桿節圓直徑 dm = 35mm、節距 p = 4 mm、螺紋面間之摩擦係數 μ = 0.1 ,若負載W = 8 kN,期望 設計上升速率v = 20 mm/s,則傳動功率 P = ?(25分) 補充公式及說明:負載螺桿上升所需扭矩,其中,ℓ為導程。