所屬科目:財政學
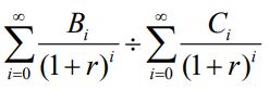
7 若 B 表示利益,C 表示成本,r 表示折現率,i 表示期間,則下列何者是跨期計畫益本比(benefit- cost ratio)評估的計算式? (A) (B) (C) (D)
12 假設某國僅有甲、乙兩人,在不同公共財數量下兩人願意分攤的租稅份額如下表所示。在林達爾均衡(Lindahl equilibrium)中,此兩人透過投票全體一致同意的公共財提供數量為何? (A) 1 單位的公共財 (B) 2 單位的公共財 (C) 3 單位的公共財 (D) 4 單位的公共財
13 若政府訂定稅收函數為 T= - 100,000 + 0.2(Y - 10,000✖S),其中 T 為稅收,Y 為家庭所得,S 為家庭人口數。以一個三口之家,其家庭所得為多少金額可以領取負所得稅 60,000 元? (A) 30,000 元 (B) 160,000 元 (C) 200,000 元 (D) 230,000 元