所屬科目:教甄◆數學
1. x,y為實數,則之最小值是?
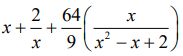
3. 設f(x)=。設正數a使得函數f(x)有最小值f(a),則所有符合之a的總和為?
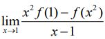
4. 設 f(x) 為可微分函數,若 f(1)=2, f'(1)=5,則=?
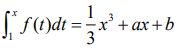
5. 若Sn為曲線y=與y=,n∈N所圍區域的面積,則=?
8. 在複數平面上,=4,求最小值為?
9. 若H為△ABC重心,且,求cos∠BAC=?
10. 已知其中a、b ∈ R, g(x) =,若 f(x)與g(x)交於A、B兩點,且=2,求a-b=?
11. 如果x,y為實數,,求3x+y的範圍?
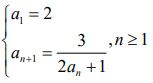
12. 數列滿足遞迴關係,求 =?
13. 求(1+x+x²+x³)6展開式中x5的係數=?
15. 設 0.216≤x≤1,求f(x)=的最大值為?
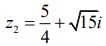
16. 已知滿足方程式|z+3|+|z-3|=10的三個複數 z1、z2、z3中,|z1+3|、|z2+3|、|z3+3|為等差數列,已知,求Re(z1+z3) =?(Re(z)表z的實部)
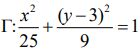
17. 座標平面上有一個橢圓及一點P(0,a),其中a>6,由P點向橢圓作兩切線,分別交 X軸於A, B兩點,當a= m 時 ∆PAB 面積有最小值M,則數對(m,M) =?
18. 在攝影器材中,三腳架是用來穩固相機提升拍照品質的重要工具,可以利用腳架的伸縮以保持相機的水平視角。將某三腳架置於水平地面時(如圖一所示),三個腳架底A、B、C兩兩距離皆為30公分,且最高點D與A、B、C三點的距離皆為 60 公分。現將此三腳架置於一傾斜角為的斜坡上(如圖二所示),使A、B兩點位於斜面與地面之交線上,此時若將縮短為,可保持三腳架的高度不變(即 D點與水平地面的高度不變),以維持相機視角仍為水平。請求出圖二中線段=?
(1)對於所有自然數n≥2,=1。(2分)
(2)對於所有自然數n≥2,皆滿足,並以此求之值。(3分)
2. 證明:對於所有大於1的自然數n而言, 恆成立。(5分)