所屬科目:工程力學(含靜力學、動力學與材料力學)
1. 下列哪個物理量不是向量?(A) 磁場強度 (B) 重量 (C) 速率 (D) 動量
2. 在溫度、摩擦力、重量、位移、速度、電流、動量、角加速度、磁場強度、能量等 10 個物理量中,有幾個是向量?(A) 3 (B) 4 (C) 5 (D) 7
3. 當物體的質量被視為集中在距離旋轉軸的某一位置,並且產生的轉動慣量等同於物體的實際轉動慣量,用來簡化轉動問題的計算,稱作什麼?(A) 斷面模數 (B) 迴轉半徑 (C) 極慣性矩 (D) 面積一次矩
4. 平面力系的平衡條件有幾個?(A) 3 (B) 4 (C) 5 (D) 6
5. 連續方程式( A.V = constant )可以由以下何種物理量守恆推導? (A) 質量 (B) 能量 (C) 動量 (D) 壓力
6. 所謂簡諧運動是指一質點在圓周上作以下何種運動?(A) 等加速度 (B) 等減速度 (C) 等角速度 (D) 變角速度
7. 一汽車沿水平公路作直線等加速度運動,在車前馬路上洽有一球等速橫越,則車內乘客見此球之運動軌跡為何? (A) 擺線 (B) 直線 (C) 拋物線 (D) 雙曲線
8. 下列何種材料蒲松比(Poisson's ratio)接近零?(A) 玻璃 (B) 混凝土 (C) 軟木 (D) 橡膠
9. 在純剪應力作用下,材料的應力元素需要繞水平軸旋轉多少角度才能達到主平面? (A) 30° (B) 45°(C) 60°(D) 90°
10. 對於慣性座標系(inertial reference frames),下列敘述何者正確?(1)在慣性座標系中,若物體本身所受淨力為零,則該物體保持靜止或維持等速運動(2)在任何慣性座標系中,所描述的物理現象都是相同的(3)地球座標是一個慣性座標系。(A) 只有(1)、(2)正確 (B) 只有(1)、(3)正確(C) 只有(2)、(3)正確 (D) (1)、(2)、(3)皆不正確
11. 一個人開車旅行,以 88.5 km/h 的均速行駛,旅途中有休息 22.0 min。如果此人的平均速度為 77.8 km/h,則該人在旅途中花費了多少時間?(A) 3.03 h (B) 2.61 h (C) t = 2.80 h (D) t = 2.70 h
12. 多大的衝量(impulse)可以給予質量為 2 kg 的物體 +50 kg·m/s 的動量(momentum)改變量?(A) +25 N·s (B) −25 N·s (C) +50 N·s (D) −50 N·s
13. 對非彈性碰撞之敘述何者正確?(A) 動量守恆,能量不守恆 (B) 動量守恆,動能不守恆(C) 動量不守恆,能量守恆 (D) 動量守恆,動能守恆
14. 如圖 13 平面 x-y 座標上四點,分別是 O(0,0), A(2,0),B(0,2), C(2,2),一質點所受的力 (N),質點從 O 點出發,分別沿著 OAC 路徑及 OBC 路徑做功,下 列敘述何者正確? (A) 沿著OAC路徑做功為 0 J (B) 沿著OBC路徑做功為 0 J (C) 沿著OAC路徑做功為 4 J (D) 沿著OAC路徑及沿著OBC路徑做功相同
15. 下列有關延性材料強度的敘述,何者正確?(A) 抗拉強度最弱 (B) 抗壓強度最弱(C) 抗剪強度最弱 (D) 抗彎強度最弱
16. 下列有關脆性材料強度的敘述,何者正確?(A) 抗拉強度最弱 (B) 抗壓強度最弱(C) 抗剪強度最弱 (D) 抗扭強度最弱
17. 一個質量為 70 kg 的男子站在電梯內的彈簧秤上,地面上的觀察者發現彈簧秤的讀數為 560 N。請問此時電梯之運動狀況為何?(A) 電梯以向下 1.8 m/s2 的等加速度運動(B) 電梯以向上 1.8 m/s2 的等加速度運動(C) 電梯以向下 0.9 m/s2 的等加速度運動(D) 電梯以向上 0.9 m/s2 的等加速度運動
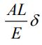
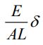
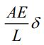
18. 一根均質桿件,長度為 L(m)、截面積為 A (mm2 ),材料的彈性係數為 E(GPa)。當桿件的伸長量為 d 時,求其兩端所受的拉力 P(kN)? (A) (B) (C) (D)
19. 一輛貨車以加速度 40 m/s² 向前行駛,車上載有一塊質量 120 kg 的鋼板且未發生滑動。請問貨車對鋼板的作用力是多少? (A) 981 N (B) 4800 N (C) 4621 N (D) 4942 N
20. 一個質量 2.5 kg 的木箱從 2.0 m 的高度垂直落下,撞擊地面上的彈簧秤。該彈簧秤的彈性係數為 2.5×105 N/m。請問在此過程中,彈簧秤的最大讀數約為多少 kN?(A) 2.0 (B) 3.0 (C) 4.0 (D) 5.0
21.一系統的位能(Potential)函數表示成:U (x)= A(2 x + 3),試問對應此位能函數的保守力為何? (A)(B)(C) (D)
22. 一物體位置與時間之關係為,試問其運動軌跡為 何? (A)(B)(C) (D)
23. 一名跳水者從跳板往下跳,起初保持身體筆直並緩慢旋轉。若將手臂和腿緊縮在一起,轉動動能會如何變化? (A) 增加 (B) 減少 (C) 保持不變 (D) 無法確定
24. 一人以 10.0 m/s 的初速將球向上拋,在忽略空氣阻力的情形下,請計算球回到手中之前,在空中的時間為多久?(以 s 表示之) (A) 2.04 s (B) 1.96 s (C) 1.85 s (D) 1.05 s
25. 兩彈簧以串聯方式懸掛一個 15kg 的載重,兩彈簧的彈簧常數分別為10kg/cm、15kg/cm,試問其總變形量為多少?(A) 2.5 cm (B) 0.6 cm (C) 1.667 cm (D) 0.4 cm
26. 在一個單軸拉伸試驗後生成的鋼材應力-應變圖中,哪一項材料特性無法直接從圖中得出?(A) 彈性模數 (B) 伸長率 (C) 極限抗拉強度 (D) 蒲松比
27. 兩個均勻的圓柱體,質量和轉動慣量不同,最初靜止於斜面頂端,然後同時沿斜面無滑動地滾下。請問哪個圓柱體會先抵達斜面底部?(A) 質量較大者 (B) 轉動慣量較大者(C) 轉動慣量較小者 (D) 兩者同時到達
28. 質量相同且半徑同為 R 之圓盤、圓環、空罐頭、實心球同時自相同斜坡頂釋放,若全程滾動無滑動,則到達地面次序為何? (A) 圓盤→圓環→空罐頭→實心球 (B) 實心球→圓盤→空罐頭→圓環 (C) 圓環→空罐頭→圓盤→實心球 (D) 同時抵達
29. 下列位能與位移之關係,何者為簡諧運動? (A)(B)(C)(D)
30. 樑的橫截面為 2cm x 5cm 的矩形,當其對某一軸的慣性矩為 90cm4,則其迴轉半徑為多少? (A) 2cm (B) 3cm (C) 4cm (D) 5cm
31. 如圖 30,該系統處於靜止狀態,試問作用於斜面上的方塊之摩擦力大小為多少?兩個方塊的重量 W =40N,邊長 a = 3 m、b = 4 m。 (A) 12 N (B) 14 N (C) 16 N (D) 20 N
32. 某質點質量為 2kg 其位置與時間之關係為,求 t = 2 sec 時此質點之瞬時功率為? (A) 152W (B) 252W (C) 352W (D) 452W
33. 兩彈簧以並聯方式懸掛一個 15kg 的載重,兩彈簧的彈簧常數分別為10kg/cm、15kg/cm,試問其總變形量為多少?(A) 2.5 cm (B) 0.6 cm (C) 1.667 cm (D) 0.4 cm
34. 圓形截面半徑為 R,對型心軸的極慣性矩(polar moment of inertia)為何?(A) (B) (C)(D)
35. 下列敘述何者錯誤?(A) 封閉系統的角動量守恆(B) 柏努利定律可由質量守恆推導而得(C) 流體之靜壓力於等水平面上壓力相等(D) 質點動量的變化率等於質點所受的淨力
36. 一個水平放置的彈簧一端固定於牆壁,另一端連接一個物體,該物體在無摩擦的水平面上進行簡諧運動。已知系統的總能量為 50 焦耳(J),當物體的位移為 最大位移的一半時,請問此時物體的動能是多少?(A) 50 J (B) 12.5 J (C) 25 J (D) 37.5 J
37. 質量為 m 的質點,其振盪運動方程式為。則 a 之物理量應與下列何者相同? (A) 週期 (B) 位移 (C) 頻率 (D) 無因次的物理量
38. 簡諧運動中位置與加速度的相位差(phase difference)為何?(A) π/4 (B) π/3 (C) π/2 (D) π
39. 無外力作用的單自由度振動系可以表示為 ,其中 m 是質量,k 是 彈簧常數。自然頻率可以通過下列哪個式子計算? (A)(B) (C) (D)
40. 下列方程式用來表示四種情況下,質點在一維空間的位置(x)隨時間(t)的變化 函數 x(t):(1) x = 2/t 2; (2) x = −2; (3) x = 3t − 2;及(4) x = −4t 3−2。(x 與 t 均為 公制單位且 t >0)請問在那些情況下,質點為等加速度運動? (A) (1)及(2) (B) (2)及(3) (C) (3)及(4) (D) (1)及(4)
41. 一物體沿直線運動,令 x、v、a 分別為其位移、速度、加速度,而 t 為時間。請問下列那一個方程式一定錯誤?方程之中,A、B、C、D、E、F、G、H、 L、及 M 均為無因次(dimensionless)係數。 (A) Ax = Bvt +Cat (B) Dx = Eat2 (C) Fv = Gat (D) Hx = Lvt + Mat2
42. 當一個人於一個水平地面無滑動地向東走,下列敘述何者正確?(1)地面作用於人腳底的摩擦力為向東(2)人腳底作用於地面的摩擦力為向東(3)地面作用於人的正向力為向上(A) (1)及(2) (B) (1)及(3) (C) (2)及(3) (D) (1)、(2)、及(3)
43. 一圓桿長度 1 m,直徑 20 mm 當受力拉伸後,伸長 2 mm,直徑變為19.988mm,其蒲松比(poison ratio)為多少?(A) 0.15 (B) 0.23 (C) 0.30 (D) 0.40
44. 一個質量為4.0 kg 的木塊放置在12 kg 的木塊上,並且位於水平桌面上。整個系統以 5.2 m/s2的加速度向右移動。設,為了防止4.0 kg 的木塊滑落,兩木塊之 間所需的最小摩擦係數 μ 為多少 ? (A) 0.25 (B) 0.33 (C) 0.45 (D) 0.53
45. 一個單擺的最大擺角為 θ,擺線長度為 L,請問在擺動過程中,擺錘的最大速度是多少? (A) (B) (C) (D)
46. 一質點由靜止開始做直線運動,其位移函數為,則當 t =3 s 時,其加速度為多少 m/s2? (A) 16 (B) 18 (C) 22 (D) 33
47. 一理想彈簧垂直懸掛於天花板,質量 2.0 kg 的物體被吊掛在彈簧上,當物體靜止時,彈簧被拉長 6.0 cm。若再對物體施加一垂直向下的外力,使彈簧額外拉長 10 cm,請問在施力過程中彈簧所做的功為多少? (A) 3.6 J (B) 3.3 J (C) −3.3 J (D) −3.6 J
48. 下列何者表示物體呈一維簡諧振盪(simple harmonic oscillation)時,受力(F)與位移(x)之間的關係式? (A)(B) F=−3x (C) F=10x (D)
49. 一隻螞蟻在一直線上,從 x = 10 cm 處,爬到 x = −10 cm 處,然後回頭到 x = −5 cm。這隻螞蟻的位移(displacement)與爬行距離(total distance)分別為: (A) −15 cm 與 25cm (B) 15 cm 與 −25cm (C) 15 cm 與 25cm (D) −15 cm 與 −25cm
50. 一樑的橫截面為 10cm x 12cm 的矩形,當右側面承受一向下的橫向剪力 V= 4kN 作用,則截面剪應力最大值為多少 MPa? (A) 0.25 (B) 0.50 (C) 0.17 (D) 0.33