所屬科目:教甄◆數學
A. 試求方程式x=的所有解之和為__① __。
B. 已知(1-2x)5(1+4x2)5(1+2x)5的展開式中,與的係數依序為 a 與 b,試求。
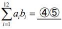
C. 已知 12 個數據,其算術平均數為 13、標準差為 5,將這 12 個數據標準化後依序得,則。
D. 在直角坐標平面上,由點A(6,7)對圓x2+y2=10作兩切線交此圓於 P、Q 兩點。若 B 為射線上一點,則的最大值為。
F. 已知直角坐標平面上三點O(0,0) 、 A(1,7)、 B(7,-1) ,若= −19 ,則長度的最大值為。
G. 已知a b,為實數,試求(3a-2b+1)2+(2a+b-2)2+(4a-5b-3)2的最小值為。
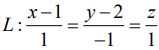
H. 已知空間中一直線與兩點 A(0,1,3) 、 B(1,3,-2)。若點P為直線L上一動點,則的最小值為。
I. 某袋中有大小形狀相同的三顆紅球、四顆綠球與五顆藍球,今隨機從袋中一次取一顆球,取後不放回。試求在「紅 球→藍球→綠球」依次被取完的條件下,紅球取完之前至少已經先取出兩顆藍色球的機率為。
J. 已知空間中有一四面體,其對邊(不相鄰的兩邊)長度兩兩相同。若此四面體的六個兩面角分別為θ1,θ2 ,...,θ6,並且θ1=120°,則的最大值為__㉔__。
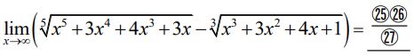
K. 試求。
L. 已知多項式函數f(x)滿足(x-1)f(x)=。若f (0)=−2,試問f(5) = ㉘㉙㉚ 。
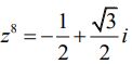
M. 已知複數z 、ω滿足且,其中 t 為實數,試求|z −ω|的最小值為。
N. 試求二次曲線13x2-10xy+13y2-6x-42y-27=0的正焦弦長為。
O. 某工廠的檢核人員逐一檢查某批產品,直到檢驗到不良品為止,令隨機變數 X 代表此次檢查的次數。今設定當P( X≥k )<0.1時,拒絕「此產品良率為八成」的假設。求拒絕此假設時 k 的最小正整數值為 ㊳㊴ 。
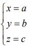
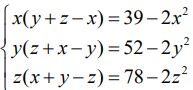
P. 若方程組的正實數解為,則 abc = ㊵㊶ 。
Q. 已知△ABC 中,∠ACB=90°,= 2 ,又此三角形內部有一點P ,滿足,則△ABC 的面積為。
R. 平面上有向量,滿足。若和的夾角為,則的最小值為。
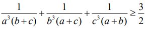
二、 證明題: 1. 已知a , b , c為正實數,且滿足abc =1,試證明: