阿摩線上測驗
登入
首頁
>
技檢◆視聽電子-甲級
> 114年 - 02900 視聽電子 甲級 工作項目 03:無線電學 251-297(2025/10/16 更新)#132282
114年 - 02900 視聽電子 甲級 工作項目 03:無線電學 251-297(2025/10/16 更新)#132282
科目:
技檢◆視聽電子-甲級 |
年份:
114年 |
選擇題數:
47 |
申論題數:
0
試卷資訊
所屬科目:
技檢◆視聽電子-甲級
選擇題 (47)
複選題
251. 如下圖電路所示,假設 MOSFET 臨界電壓 V
T
= 1V,直流電流 I
D
= 2mA,且 rd 忽略不計,則下列敘述何者正確?
(A)gm =4/3mS (B)A
V
=−4 (C)V
GS
= 4V (D)I
D
= K(V
GS
−V
T
)2 。
複選題
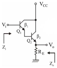
252. 如下圖電路所示,當β≒β
1
=β
2
,γ
e
≒γ
e1
=γ
e2
時,有關達靈頓(Darlington)電路之敘述,下列何者正確?
(A)高輸入阻抗約為β
1
β
2
R
E
(B)低輸出阻抗約為 re
2
+(re
1
/β
2
) (C)高電壓增益約為β2 (D)低電流增益約為 1
複選題
253. 如下圖電路所示,已知 V
DD
=15V,R
S
= 1kΩ,R
D
= 4kΩ,I
D
=1.5mA,R
G
=1MΩ,I
DSS
=12mA,V
P
=−3V,則下列選項敘述何者正確?
(A)A
i
=800 (B)A
V
=−3.2 (C)gm= 5mS (D)Z
O
= 4kΩ 。
複選題
254. 如下圖電路所示,為一電晶體放大電路,則下列選項敘述何者正確?
(A)若 R1 斷路,V
B
接近 0V (B)若 R
2
斷路,V
E
接近 0V (C)若 B-E 短路,V
E
接近 V
B
(D)若 R
E
斷路時,V
C
接近+V
CC
。
複選題
255. 如下圖電路所示,為場效應電晶體(MOSFET)的放大電路,若 I
DQ
= 2mA,k = 0.5 mA/V
2
,V
GS(t)
= 1V,且忽略其他因素,則下列敘述何者正確?
(A)V
GS
= 4V (B)gm =2mS (C)A
V
=−3 (D)輸入阻抗 Ri =1MΩ 。
複選題
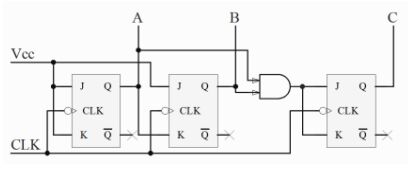
256. 如下圖電路所示,若輸入時脈(CLK)為 1KHz,下列敘述何者正確?
(A)A輸出頻率 500Hz 工作週期 50% (B)B 輸出頻率 250Hz 工作週期 50% (C)C輸出頻率 250Hz 工作週期 50% (D)為四模非同步計數器 。
複選題
257. 對於下列 VHDL 程式之敘述,何者正確?
(A)a、b、cin 為全加器之輸入端,sum、carry 為輸出端 (B)i2 為 u1 半加器 sum 輸出 (C)i1 為 u1 半加器carry 輸出 (D)i3 為 u2 半加器 carry 輸出 。
複選題
258. 下列何者為 VHDL 之合法識別字? (A)1SELECT (B)MEN_IN (C)START (D)_OUT_DATA 。
複選題
259. VHDL 運算子之應用,下列敘述何者正確? (A)VALUE<=”10010011”SLL2 運算結果值為”01001100” (B)VALUE<=”10010011”SRA2 運算結果值為”11100100” (C)VALUE<=”10010011”ROL3 運算結果值為”11011100” (D)VALUE<=”10010011”SRL2 運算結果值為”01001100” 。
複選題
260. 如下圖電路所示,有關電路之敘述,下列何者正確?
(A)
(B)當R
2
=0 時,A
v
=1 (C)當 R
1
=0、R
2
=∞時,可視為比較器 (D)本電路為一非反相放大器 。
複選題
261. 如下圖電路及時序圖所示,有關 Q 端輸出之敘述,下列何者正確?
(A)T1 時,Q 輸出為 1(Hi) (B)T3 時,Q 輸出為 0(Low) (C)T4 時,Q 輸出為0(Low) (D)T5 時,Q 輸出為 1(Hi) 。
複選題
262. 如下圖電路所示,立方體每邊之電阻為 1Ω,設電源送出之電流為 I,則下列參數何者為真?
(A)
(B)
(C)
(D)
。
複選題
263. 小明在家裡一天共使用 200W 電視機 8 小時、1,200W 烤麵包機 30 分鐘、40W 電燈 8 盞 10 小時、400W 洗衣機 45 分鐘、5,600W 烘乾機 51分鐘等電器,假設電費每度 5 元,則下列何者正確。 (A)所有電器共使用10.4 度 (B)烤麵包機電費 3 元 (C)烘乾機消耗電能 W=285.6 千瓦-小時 (D)洗衣機在用電不超過 5KW-hr 之下可持續使用 12.5hr 。
複選題
264. 如下圖電路所示,下列參數何者符合該電路之需求?
(A)V
ab
=1.5V (B)I
1
=1.5A (C)I
2
=0.75A (D)V
ef
=75V 。
複選題
265. 如下圖電路所示,其 V
ab
、I
1
、I
2
、I
3
所求之值,下列何者正確?
(A)I
1
=2A (B)I
2
=1A (C)I
3
=3A (D)V
ab
=6V 。
複選題
266. 兩相同線圈 L
1
= L
2
=20mH 相串聯,若二線圈交鏈之磁通量相等,則下列參數何者正確? (A)磁耦合係數 K=1 (B)線圈之互感 M=20mH (C)L
1
與 L
2
為相串聯互增時其總電感量 L=60mH (D)L
1
與 L
2
為相串聯互減時其總電感量 L=20mH 。
複選題
267. 設相同兩線圈串聯,其等值電感為 140mH,如其中一線圈倒置時,則其等值電感減為 20mH,則下列參數何者正確? (A)每線圈之自感 L=40mH(B)線圈間之互感 M=30mH (C)耦合係數 K=1 (D)耦合係數 K=0.75 。
複選題
268. 如下圖電路所示,假設二極體導通時其兩端的壓降是 0.4V,若hF E=100,則下列各項電流何者正確?
(A)I
1
=0.43mA (B)I
2
=1.95mA (C)I
C
=2.753mA (D)I
B
=0.275mA。
複選題
269. 依據下表單石積體電晶體中型的雜質曲線,討論下列各項參數何者正確?
(A)集極接面處離表面的距離是 2.7um、基極接面處離表面的距離是2um (B)基極厚望是 2.7um (C)硼在表面處的濃度為 5×10
18
原子/立方厘米(D)磷在表面處的濃度為 10
16
原子/立方厘米 。
複選題
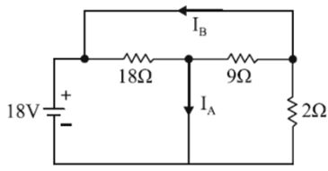
270. 如下圖電路所示,下列敘述何者正確?
(A)I
A
=3A (B)I
B
=-11A (C)I
9Ω
=1A (D)I
2Ω
=9A 。
複選題
271. 如下圖電路所示,下列敘述何者正確?
(A)R
X
=3Ω,可得最大的功率輸出(B)R
X
可得之最大的功率為
W (C)a,b 兩端之 E
TH
=3V (D)a,b 兩端之R
TH
=2Ω 。
複選題
272. 如下圖電路所示,下列敘述何者正確?(D
1
,D
2
為理想二極體)
(A)V
O
=6V(B)D
1
,D
2
都導通 (C)D
1
導通,D
2
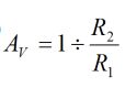
不導通 (D)V
O
=0V 。
複選題
273. 已知一交流電路電源電壓 v(t) =100
sin(ωt-30° ) V,電源電流 i(t) = 5
sin(ωt + 30°) V,則下列敘述何者正確? (A)平均功率 P = 250W (B)虛功率 Q = 250 VAR (C)視在功率 S=500VA (D)最大瞬間功率 P
m in
= 0W 。
複選題
274. 有關諧振電路之敘述,下列何者正確? (A)串聯諧振電路,當信號頻率大於諧振頻率時,電路中電壓超前電流 (B)並聯諧振電路,當信號頻率小於諧振頻率時,電路呈現電感性 (C)在串聯諧振時,信號頻率會等於諧振頻率,電路總電流為最小 (D)在並聯諧振時,信號頻率會等於諧振頻率,電路總阻抗為最大。
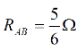
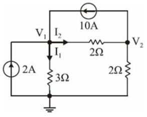
複選題
275. 下圖電路電源電壓 V(t)=30 sin(250t+30° )V,R=3Ω,C=1mF,L=8mH,則下列敘述何者正確?
(A)I
R
(t)=10cos(250t-60°) A (B)I
L
(t)=15cos(250t-30°)A (C)I
C
(t)=7.5cos(250t+30°)A (D)I(t)=12.5sin(250t-7°)A 。
複選題
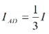
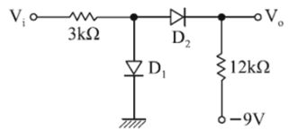
276. 如下圖電路所示,若 D
1
、D
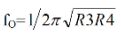
2
皆為理想二極體,下列敘述何者正確?
(A)V
O
=1V (B)I
1
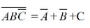
=0.5mA (C)I
D2
=0.2mA (D)I
D1
=0.3mA 。
複選題
277. 如下圖電路所示,下列敘述何者正確?
(A)V
O
之波形為正弦波 (B)振盪之頻率
(C)振盪條件為
(D)此電路為韋恩電橋振盪器 。
複選題
278. 有關雙極性電晶體特性之敘述,下列何者正確? (A)電晶體操作在作用(active)區時,射極( E )基極( B )接面為順向偏壓,集極( C )基極( B )接面為逆向偏壓 (B)電晶體操作在飽和(saturation)區時,射極( E )基極( B )接面為逆向偏壓,集極( C )基極( B )接面為逆向偏壓 (C)一般電晶體放大器之輸入阻抗:共基極組態(CB)<共射極組態(CE)<共射極組態(CE)
複選題
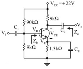
279. 如下圖電路所示,假設電晶體參數 V
T
=25mV、β = 99、V
BE
=0.7V,則下列敘述何者正確?
(A)I
E
=1mA (B)Z
O
=9KΩ (C)A
V
=-360 (D)Z
b
=1.3KΩ 。
複選題
280. 如下圖電路所示,為一個 4 位元的加/減法器電路,下列敘述何者正確?
(A)電路可由編號 7483 與 7486 兩顆 IC 來完成 (B)當 M=0、C
O
=1 時,為一個執行 A
3
A
2
A
1
A
0
+ B
3
B
2
B
1
B
0
的加法器電路 (C)M=1、C
O
=1 時,為一個執行 A
3
A
2
A
1
A
0
−B
3
B
2
B
1
B
0
的減法器電路 (D)當將 C
4
連接至 C
O
,且M=1 時,為一個執行 A
3
A
2
A
1
A
0
−B
3
B
2
B
1
B
0
的減法器電路 。
複選題
281. 有關數位邏輯之敘述,下列何者正確? (A)可使用 XOR 閘來控制脈波信號是否輸入 (B)三態(tri-state)閘常用於匯流排(bus)電路中 (C)可使用 OR閘來強制設定輸出為 1 (D)若欲推動較大的負載(如小燈泡或小型繼電器),可使用開集極(open collector)結構輸出的邏輯閘 。
複選題
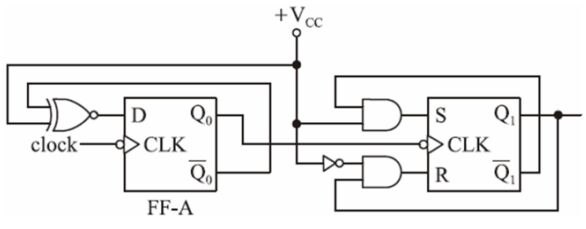
282. 如下圖計數電路所示,當 Q
1
Q
0
= 10 時,若由 clock 端輸入 12 KHz 的脈波,下列敘述何者正確?
(A)電路為非同步計數器 (B)Q
1
輸出端可獲得 3KHz 的脈波 (C)Q
0
輸出端可獲得 6KHz 的脈波 (D)電路的計數模數為 3 。
複選題
283. 有關布林代數式之敘述,下列何者正確?(A)
(B)
(C)
(D)
。
複選題
284. 布林函數
的最簡式為何? (A)
(B)
(C)
(D)
。
複選題
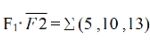
285. 假設 F
1
(A , B , C , D) =Σ(0 , 2 , 5 , 6 , 8 ,10 ,13)、F
2
(A , B , C , D)=π(1, 3 , 5 , 7 ,10 ,13 ,15),下列敘述何者正確? (A)F
1
+ F
2
=π(1, 3 ,7 ,15) (B)F
1
·F
2
=Σ(0 , 2 , 6 , 8) (C)
(D)F
1
⊕F
2
=Σ(4 , 5 , 7 ,9 ,10 ,11,12 ,14) 。
複選題
286. 如下圖電路所示,下列敘述何者正確?
(A)電流 I
1
=8 A (B)電流 I
2
=4A (C)電流 V
1
=12V (D)電流 V
2
=-4V 。
複選題
287. 如下圖電路所示,開關 SW 打開且電路已達穩態,若 t = 0 時,將開關SW 閉合,且閉合瞬間電容電壓為 V
C
(0)、瞬間電感電流為 i
L
(0),則下列何者正確?
(A)V
C
(0)=0V (B)i
L
(0)=0 mA (C)V
C
(0)=10 V (D)i
L
(0)=100mA 。
複選題
288. 微波通訊的特點為何? (A)頻率高 (B)頻帶寬 (C)價格便宜 (D)資訊量大。
複選題
289. 有關於取樣定理(Sampling Theorem)之敘述,下列何者正確? (A)將連續訊號變成離散或數位訊號的步驟稱之為取樣 (B)以脈波來取樣稱為脈衝取樣(Impulse Sampling) (C)取樣頻率最少需為被取樣頻率的三倍方可還原(D)取樣後的波形經高通濾波後可還原。
複選題
290. 有關於脈衝取樣(Impulse Sampling)之敘述,下列何者正確? (A)脈衝電壓因調變信號的振幅而成正比變化稱 PAM(Pulse Amplitude Modulation)(B)脈衝寬度因調變信號的振幅而成正比變化稱 PWM(Pulse WidthModulation) (C)脈衝的位置因調變信號的振幅而成正比變化稱 PPM(PulsePosition Modulation) (D)脈衝頻率因調變信號的振幅而成正比變化稱PCM(Pulse Code Modulation) 。
複選題
291. 無線電波傳播,因頻率不同有下列何種方式? (A)地表波傳播 (B)天波傳播 (C)繞射傳播 (D)散射傳播。
複選題
292. 有關於雙載波(DSB)與單載波(SSB)通訊發射方式之敘述,下列何者正確? (A)DSB 佔用頻寬為 SSB 的一半 (B)SSB 解調時需有本地振盪器 (C)SSB 可以用 DSB 接收器接收 (D)SSB 因調變功率較小,故調變器較小。
複選題
293. 有關於無線接收、發射機用的振盪器條件之敘述,下列何者正確? (A)頻率穩定度要高 (B)振盪器輸出不易受電壓及溫度影響 (C)高次諧波含量多(D)頻率值容易作微調。
複選題
294. 有關於倍頻器(frequency multiplier)之敘述,下列何者正確? (A)一般裝於緩衝放大器之前 (B)可利用 B 類放大器來達到頻率倍增 (C)可使用於 FM及微波發射機 (D)倍頻放大器通常採用射極接地方式,當頻率非常高時則用基極接地。
複選題
295. 變容二極體(varicap)之用途為何? (A)電子調諧 (B)倍頻 (C)頻率轉換(變頻)(D)自動增益控制(AGC) 。
複選題
296. 功率發射器通常採用 MOS-FET,其特點為何? (A)輸入阻抗、輸出阻抗高,可得增益高 (B)開關速度快 (C)熱穩定高 (D)產品多,選用方便。
複選題
297. 電晶體放大電路中,下列何者是影響放大器低頻響應的主因? (A)退交連電容 (B)耦合電容 (C)射極旁路電容 (D)電晶體的極際電容。
申論題 (0)
相關試卷
114年 - 02900 視聽電子 甲級 工作項目 08:電子儀表 CATV(有線電視) 1-39(2025/10/16 更新)#132289
114年 · #132289
114年 - 02900 視聽電子 甲級 工作項目 07:音響放大器 51-106(2025/10/16 更新)#132288
114年 · #132288
114年 - 02900 視聽電子 甲級 工作項目 07:音響放大器 1-50(2025/10/16 更新)#132287
114年 · #132287
114年 - 02900 視聽電子 甲級 工作項目 06:影音光碟機 1-40(2025/10/16 更新)#132286
114年 · #132286
114年 - 02900 視聽電子 甲級 工作項目 05:電視機及顯示器 51-76(2025/10/16 更新)#132285
114年 · #132285
114年 - 02900 視聽電子 甲級 工作項目 05:電視機及顯示器 1-50(2025/10/16 更新)#132284
114年 · #132284
114年 - 02900 視聽電子 甲級 工作項目 04:收音機 1-50(2025/10/16 更新)#132283
114年 · #132283
114年 - 02900 視聽電子 甲級 工作項目 03:無線電學 201-250(2025/10/16 更新)#132281
114年 · #132281
114年 - 02900 視聽電子 甲級 工作項目 03:無線電學 151-200(2025/10/16 更新)#132280
114年 · #132280
114年 - 02900 視聽電子 甲級 工作項目 03:無線電學 101-150(2025/10/16 更新)#132279
114年 · #132279