阿摩線上測驗
登入
首頁
>
技檢◆工業配線-丙級
> 114年 - 114 全國技術士技能檢定學科_在校生工業類_丙級:01300 工業配線#130411
114年 - 114 全國技術士技能檢定學科_在校生工業類_丙級:01300 工業配線#130411
科目:
技檢◆工業配線-丙級 |
年份:
114年 |
選擇題數:
80 |
申論題數:
0
試卷資訊
所屬科目:
技檢◆工業配線-丙級
選擇題 (80)
1. 如下圖所示之符號為
(A)熱動 a 接點 (B)b 接點 (C)a 接點 (D)限時復歸 a 接點。
2. 有關「工讀生」之敘述,下列何者正確? (A)屬短期工作者,加班只能補休 (B)工資不得低於基本工資之 80% (C)國定假日出勤,工資加倍發給 (D)每日正常工作時間得超過 8 小時。
3.
如左圖所示之符號為 (A)交流電動機 (B)直流發電機 (C)交流發電機 (D)直流電動機。
4. 三相感應電動機運轉中,若發生一相電源線斷路,此時電動機之反應為 (A)電動機降速運轉,運轉電流下降 (B)電動機瞬間停止 (C)電動機持續運轉,但運轉電流增大,溫度上升 (D)電動機持續運轉,但運轉電流減少。
5. 下列何者不是自來水消毒採用的方式? (A)紫外線消毒 (B)加入二氧化碳 (C)加入臭氧 (D)加入氯氣。
6. 使用 61F-G 液面電驛來偵測水位時,當偵測之水位位於高水位時,其 Tc-Tb 之接點狀態為 (A)接通 (B)斷開 (C)不定 (D)閃
爍。
7. 開發單位變更原申請內容有下列哪一情形,無須就申請變更部分,重新辦理環境影響評估? (A)土地使用之變更涉及原規劃之保護區 (B)對環境品質之維護有不利影響 (C)規模擴增百分之十以上 (D)不降低環保設施之處理等級或效率。
8. 換裝交流電流表時,則 (A)以同刻度範圍及相同 CT 比者更換 (B)以同刻度範圍者更換不必考慮電流表之 CT 比 (C)以延長刻度相同 CT 比者更換 (D)以較大刻度範圍者更換。
9. 積熱型過載電驛跳脫原因係 (A)受電磁吸力動作 (B)受熱動作 (C)受壓力差距動作 (D)受光動作。
10. 換裝保險絲時,應注意下列何種事項? (A)使用電流容量約等於安全電流 3 到 4 倍的保險絲 (B)遵照電路電流量,選用適宜的保險絲 (C)所使用的保險絲,其電流容量不要過小,以免經常更換 (D)以鐵絲或銅絲取代,以防再斷。
11. 套裝 O 型號碼管時,下列何者正確 (A)號碼管可任意套裝,不必依線號編製套裝 (B)套裝 O 型號碼管直向裝置時,其標示須全部右視配置或左視配置 (C)施作號碼管僅需部分套裝,不需全部套裝 (D)接有兩條導線的接點,僅套裝一只號碼管即可。
12. 如下圖所示,未通電時,以三用電表量測按鈕開關 PB1 之 a 接點兩端之電阻值為
(A)無限大 (B)接近無限大 (C)電磁接觸器線圈與指示燈內阻之並聯值 (D)電磁接觸器線圈與指示燈內阻之串聯值。
13. 三用電表之靈敏度愈佳,則其 Ω/V (A)愈小 (B)不一定 (C)無關 (D)愈大。
14. 下列何者為全波整流電路? (A)
(B)
(C)
(D)
。
15. 非金屬物質檢測,適用下列何種類型的近接開關? (A)磁力型 (B)電感型 (C)差動線圈型 (D)靜電容量型。
16. 無熔線斷路器啟斷容量之選定依 (A)功率因數 (B)短路電流 (C)線路之電壓降 (D)額定電流。
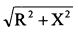
17. 非高阻抗型之電極式液面控制器在下列何種液體中沒有作用? (A)蒸餾水 (B)井水 (C)山泉水 (D)自來水。
18. 1mA 等於 (A)1/10000A (B)1/100A (C)1/10A (D)1/1000A。
19. 在時間電驛中,表示限時復歸,瞬時動作之 b 接點為 (A)
(B)
(C)
(D)
。
20. 照光式按鈕開關,簡稱 (A)LPB (B)MOS (C)COS (D)EMS。
21. 對於依照個人資料保護法應告知之事項,下列何者不在法定應告知的事項內? (A)個人資料利用之期間、地區、對象及
方式 (B)蒐集之目的 (C)蒐集機關的負責人姓名 (D)如拒絕提供或提供不正確個人資料將造成之影響。
22. 作抽水機交替控制之機械式棘輪電驛,下列敘述何者為正確? (A)沒有線圈 (B)有 1 組線圈 (C)有 3 組線圈 (D)有 2 組線圈。
23. 大雄擔任公司部門主管,代表公司向公務機關投標,為使公司順利取得標案,可以向公務機關的採購人員為以下何種行為? (A)為與公務機關間有良好互動,招待至有女陪侍場所飲宴 (B)為避免報價錯誤,要求提供底價作為參考 (C)為社交禮俗需要,贈送價值昂貴的名牌手錶作為見面禮 (D)為了解招標文件內容,提出招標文件疑義並請說明。
24. 下列何者非為事業單位勞動場所發生職業災害者,雇主應於 8 小時內通報勞動檢查機構? (A)發生死亡災害 (B)勞工受傷無須住院治療 (C)發生災害之罹災人數在 3 人以上 (D)發生災害之罹災人數在 1 人以上,且需住院治療。
25. 內阻各為 1.5KΩ 及 1KΩ 之兩個滿刻度 150V 電壓表,若串聯連接時,可測定之最高電壓為 (A)300V (B)200V (C)150V
(D)250V。
26. 於電動機控制盤中交流控制線應選 (A)白色 (B)黃色 (C)紅色 (D)藍色。
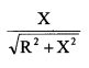
27. 電阻R與電抗X串聯接續,其總阻抗 Z 為 (A)R+X(B)
(C)
(D)
。
28. 洗菜水、洗碗水、洗衣水、洗澡水等的清洗水,不可直接利用來做什麼用途? (A)飲用水 (B)沖馬桶 (C)澆花 (D)洗地板。
29. 交流電磁電驛線圈接於同電壓之直流電源時,此電磁電驛 (A)可正常動作且不發生問題 (B)斷續動作 (C)線圈會燒燬 (D)不動作。
30. 有關防止易燃氣體爆炸之方法,下列敘述何者錯誤? (A)防止溫度過高 (B)減少通風效果 (C)遠離火種 (D)防止洩漏。
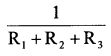
31. 電阻 R
1
、R
2
、R
3
並聯,則總電阻為 (A)R
1
+R
2
+R
3
(B)
(C)
(D)
。
32. 國產指針型三用電表撥在歐姆檔作測量時,紅棒插在+端插孔,黑棒插在-端插孔,此時黑棒是與其內部電池 (A)正極接通 (B)負極接通 (C)短路 (D)斷路。
33. 每個人日常生活皆會產生垃圾,有關處理垃圾的觀念與方式,下列何者不正確? (A)可燃性垃圾經焚化燃燒可有效減少垃圾體積 (B)所有垃圾皆掩埋處理,垃圾將會自然分解 (C)廚餘回收堆肥後製成肥料 (D)垃圾分類,使資源回收再利用。
34. 三相 440V 15HP 之電動機,其額定電流約為 (A)20A (B)30A (C)40A (D)50A。
35. 裝置於配電箱內之 22mm
2
PVC 絕緣電線其安全電流約為 (A)150A (B)50A (C)22A (D)90A。
36. 三相繞線型感應電動機之起動裝置,下列四種中,何者較為適當? (A)二次電阻起動器 (B) -△起動器 (C)電抗起動器
(D)自耦變壓器起動。
37. 電子裝置中,符號「
」表示 (A)整流二極體 (B)穩壓二極體 (C)放大器 (D)電晶體。
38. 在三相電路中,當瓦特表指示為 1.3KW、線電壓為 200V、線電流為 5A 時,則其功率因數接近 (A)45% (B)63% (C)75%
(D)82%。
39. 下列何種材料的電阻與溫度成反比變化? (A)鉛 (B)鐵 (C)銅 (D)矽半導體。
40. 有關「電業供電電壓及頻率標準」之電源系統標示,下列何者錯誤? (A)3ψ4W 220/110VAC (B)1ψ 2W 220VAC (C)1ψ2W 110VAC (D)3ψ4W 380/220VAC。
41. 在未過載情況下,加大三相感應電動機負載電流時 (A)轉差率大、轉矩大 (B)轉差率、轉矩不變 (C)轉差率小、轉矩小 (D)轉差率大、轉矩小。
42. 正弦波經半波整流後,則其波形頻率為原波形之 (A)2 倍 (B)1/2 倍 (C)不變 (D)3 倍。
43. 電路阻抗為 6+j8Ω 接於 100 伏特直流電源,其總阻抗為 (A)10Ω (B)6Ω (C)8Ω (D)14Ω。
44. 使用三線式近接開關,下列敘述何者正確? (A)連接 DC24V 電源才可使用 (B)連接 AC110V 電源才可使用 (C)連接AC110V 電源或連接 AC220V 電源均可使用 (D)連接 AC220V 電源才可使用。
45. 在交流電路中,欲擴大電流之量測範圍,應利用 (A)倍率器 (B)分流器 (C)比壓器 (D)比流器。
46. 操作砂輪機時,應配戴 (A)近視眼鏡 (B)望遠鏡 (C)隱形眼鏡 (D)安全眼鏡。
47. 營業秘密可分為「技術機密」與「商業機密」,下列何者屬於「商業機密」? (A)商業策略 (B)設計圖 (C)生產製程 (D)程式。
48. 不斷電系統 UPS 與緊急發電機的裝置都是應付臨時性供電狀況;停電時,下列的陳述何者是對的? (A)不斷電系統 UPS可以撐比較久 (B)不斷電系統 UPS 先啟動,緊急發電機是後備的 (C)緊急發電機會先啟動,不斷電系統 UPS 是後備的 (D)兩者同時啟動。
49. 一般電線規格表上所載每公里電阻值,係指 (A)30°C 時之電阻值 (B)50°C 時之電阻值 (C)20°C 時之電阻值 (D)40°C 時之電阻值。
50. 安裝選擇開關時,則 (A)將墊片分別置於鐵板之兩邊 (B)不必注意裝置角度 (C)必須先檢查接點是否正常 (D)將不用接線之接點螺絲取下。
51. 比流器規格中標示 30VA CL 1.0 級,表示在負擔 30VA 狀態下,一次側電流 100%時,二側次電流之誤差不超過 (A)1.0% (B)0.1% (C)10% (D)0.01%。
52. 可使用 -△起動器之電動機為 (A)串激式電動機 (B)單相鼠籠型感應電動機 (C)三相鼠籠型感應電動機 (D)繞線型電動機。
53. 下列何者不會使電路發生過電流? (A)電路斷路 (B)電路短路 (C)電路漏電 (D)電氣設備過載。
54. 基於節能減碳的目標,下列何種光源發光效率最低,不鼓勵使用? (A)螢光燈管 (B)省電燈泡 (C)LED 燈泡 (D)白熾燈泡。
55. 下列何種行為對生態環境會造成較大的衝擊? (A)種植原生樹木 (B)引進外來物種 (C)設立自然保護區 (D)設立國家公園。
56. 一個線圈的電感與下列何者無關? (A)尺寸 (B)外加電壓 (C)匝數 (D)有無鐵芯。
57. 變壓器之用途為 (A)減少週率 (B)增加電力 (C)改變功率因數 (D)變換電壓。
58. 控制電路用電線,應使用 (A)多股絞合裸銅線 (B)絕緣單股銅線 (C)絕緣多股絞合銅線 (D)單股裸銅線。
59. 下列哪一種光電開關需校對光軸及加裝反射片 (A)擴散反射型 (B)鏡片反射型 (C)投光器/受光器一體對照(凹槽)型 (D)投光器/受光器分離對照型。
60. 使用一只伏特表及一只安培表測電熱器之消耗功率時,下列何者為正確接法?(A)
(B)
(C)
(D)
。
61. 電磁接觸器之主要功能在 (A)接通及切斷電源 (B)保護短路電流 (C)保護過載電流 (D)防止接地事故。
62. 利用虎鉗夾持已完工之加工面,須下列何種材料作為墊片? (A)銅 (B)鐵 (C)破布 (D)鋼。
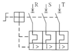
63. 如下圖所示為電動機保護斷路器之 IEC 符號,其操作方式為
(A)自動切換手動跳脫 (B)手動切換自動跳脫 (C)自動切換自動跳脫 (D)手動切換手動跳脫。
64.
如左圖所示之符號為 (A)電流表 (B)瓦特表 (C)交流伏特計 (D)功因表。
65. 台灣電力公司所供應之電源為 (A)60Hz 方波 (B)50Hz 正弦波 (C)50Hz 脈波 (D)60Hz 正弦波。
66. 如下圖所示 IEC 國際標準符號為
(A)電驛之線圈 (B)栓型保險絲 (C)蜂鳴器 (D)指示燈。
67. 3E 電驛的測試(Test)按鈕主要是做下列何種測試? (A)欠相測試 (B)手動跳脫測試 (C)逆相測試 (D)過載測試。
68. 使用中心沖的作用在 (A)測距離 (B)攻牙 (C)定位 (D)鑽孔。
69. 使用指針型三用電表量測未知電壓,其選擇開關應先置於_______再視其指示情形轉向適當電壓處。(A)最低電壓檔 (B)中間檔位 (C)最高電壓檔 (D)任意檔位
70. 下列何者之工資日數得列入計算平均工資? (A)放無薪假期間 (B)請事假期間 (C)發生計算事由之當日前 6 個月 (D)職災醫療期間。
71. 三個 18μf 交流電容器接成△接並接於三相交流電源 RST,若其中 RT 間電容器開路故障,用電表量測電容量,RT 間電容量為 (A)18μf (B)9μf (C)36μf (D)0。
72. 比壓器規格標示為 240/120V,在系統電壓為 220V 時,其二次側電壓為? (A)105V (B)115V (C)110V (D)120V。
73. 感應電動機採用 -△起動時,其起動電流為△接之 (A)相等 (B)1/3 倍 (C)1/
倍 (D)3 倍。
74. 絞線之線徑是以 (A)截面積 (B)直徑之平方 (C)直徑之大小 (D)長度 來表示。
75. 家人洗澡時,一個接一個連續洗,也是一種有效的省水方式嗎? (A)否,這跟省水沒什麼關係,不用這麼麻煩 (B)否,因為等熱水時流出的水量不多 (C)有可能省水也可能不省水,無法定論 (D)是,因為可以節省等待熱水流出之前所先流失的冷水。
76. 配電盤中電壓回路導線顏色為 (A)紅色 (B)藍色 (C)白色 (D)綠色。
77. 三相三線式電壓切換開關之接線點有 (A)3 點 (B)6 點 (C)4 點 (D)5 點。
78. Y-△啟動法其 (A)啟動時使用 Y 接線,運轉時使用△接線 (B)啟動及運轉皆使用 Y 接線 (C)啟動及運轉皆使用△接線 (D)啟動時使用△接線,運轉時使用 Y 接線。
79. 今天好友突然來電,想來個「說走就走的旅行」,因此,無法去上班,下列何者作法不適當? (A)什麼都無需做,等公司打電話來確認後,再告知即可 (B)發送 E-MAIL 給主管與人事部門,並收到回覆 (C)打電話給主管與人事部門請假 (D)用LINE 傳訊息給主管,並確認讀取且有回覆。
80. 執行檢修作業中,下列何者為正確的態度? (A)可談天說話 (B)遵守各種電工安全規定 (C)精神恍惚,打瞌睡 (D)可邊工 作,邊聽熱門音樂。
申論題 (0)
相關試卷
114年 - 01300 工業配線 丙級 工作項目 06:檢查及故障排除 1-62(2025/10/13 更新)#132048
114年 · #132048
114年 - 01300 工業配線 丙級 工作項目 05:控制電路裝配 101-122(2025/10/13 更新)#132047
114年 · #132047
114年 - 01300 工業配線 丙級 工作項目 05:控制電路裝配 51-100(2025/10/13 更新)#132046
114年 · #132046
114年 - 01300 工業配線 丙級 工作項目 05:控制電路裝配 1-50(2025/10/13 更新)#132045
114年 · #132045
114年 - 01300 工業配線 丙級 工作項目 04:主電路裝配 101-145(2025/10/13 更新)#132044
114年 · #132044
114年 - 01300 工業配線 丙級 工作項目 04:主電路裝配 51-100(2025/10/13 更新)#132043
114年 · #132043
114年 - 01300 工業配線 丙級 工作項目 04:主電路裝配 1-50(2025/10/13 更新)#132042
114年 · #132042
114年 - 01300 工業配線 丙級 工作項目 03:電氣器具之使用 101-150(2025/10/13 更新)#132040
114年 · #132040
114年 - 01300 工業配線 丙級 工作項目 03:電氣器具之使用 51-100(2025/10/13 更新)#132039
114年 · #132039
114年 - 01300 工業配線 丙級 工作項目 03:電氣器具之使用 1-50(2025/10/13 更新)#132038
114年 · #132038