所屬科目:高考/三級◆抽樣方法與迴歸分析
(一)試求此地區使用 A 品牌手機人數比例 p 的 95%信賴區間(註: = 1.96 )。
(二)若誤差 e = |pˆ - pˆ |= 0.04 ,則在 95%的信賴水準下,樣本大小 n 至少應為多少?
(一)該鎮居民每月平均生活花費 的比例機率兩階段估計值。
(二)該鎮居民每月平均生活花費 的 95%近似信賴區間。
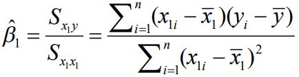
三、統計學家對某組數據,以最小平方法所配適的迴歸線為:
其中最小平方估計式 。但實際上,反應值 (還會受到第二個變數 影響,因此真實的迴歸線如下:
在此情形下,請問以最小平方估計式 來估計 β1 的偏誤量(bias)為多少?請詳細列出偏誤量的數學式及其推導過程。
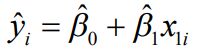
(一)請以此資料配適簡單線性迴歸模型。
(二)以所配適的模型,預測當學生英文成績為 69 時,數學成績為何?
(三)請以 α = 0.05 ,進行雙尾檢定 H0 :β1 = 0 , H1:β1 ≠ 0 。請寫出詳細檢定過程與結果(註: = 2.2281;= 2.2010;= 2.1788 ) 。