所屬科目:技師◆流體力學與流體機械
(一)牛頓流體(Newtonian fluid)與非牛頓流體(Non-Newtonian fluid)。
(二)水利直徑(Hydraulic diameter),計算長方形的水利直徑,如下圖所示。
(三)不滑移條件(No-slip condition) 。
(四)不可壓縮流(Incompressible flow)。
(一)推導出軸功率(Power shaft):P 的式子。
(二)當功率為最大時的轉速 ω 及最大功率 Pmax 為何?
三、液體在吸管中因毛細作用,會產生液體上升,如下圖所示。吸管內徑 d,液體密度 ρ,液體表面張力 σ,液體上升高度 h,液體-吸管介面形成接觸 角 θ,重力 g。求合適的無因次 Pi 項。 (20 分)
四、有一圓形液體貯槽直徑為 D,液體由貯槽底端直徑為 d 的圓孔排放,如下圖所示。在時間 t = 0 時水深度為 h0,求液體深度的變化,表示時間的函數 h = h(t)。(20 分)
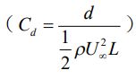
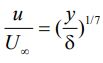
五、流體 U∞流過非常薄的平板,由於黏滯力影響下產生邊界層,在板的後緣測量到速度分布為紊流邊界層,其為 1/7 次方的速度分布,如下圖所示。平板長度 L,邊界層厚度 δ,速度分布 。求當 δ = 0.01L 時的阻力係數,Cd 為何?(20 分)