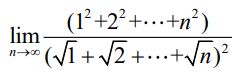
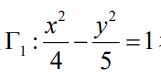
11. 袋子裡有七顆球,其中 1 號球三顆、2 號球四顆。以取後放回方式,每次隨機抽取兩球(每 球被取到機率均等),並記錄此兩球號碼,若兩球號碼相同,則可重複再隨機抽取兩球,直 至兩球號碼不同則停止抽取,完成一輪操作。令隨機變數 X 表示每輪取出球號碼總和,求 X 的期望值=_____ 。
( Ex1:某輪先取出 兩球 1 號 ,再取出 兩球 2 號 ,再取出 一球 1 號一球 2 號 ,則 X=2+4+3=9 ;
Ex2:某輪先取出 兩球 2 號 ,再取出 兩球 2 號 ,再取出 一球 1 號一球 2 號 ,則 X=4+4+3=11。)